
本次「精选编译」由哈尔滨医科大学附属第一医院史怀璋教授团队孙博文医师编译,为大家带来《后循环急性缺血性卒中的血管内卒中治疗随着次数的增加获益逐渐减少》,欢迎大家阅读分享!
因此,本研究在控制了包括年龄、NIHSS、闭塞位置和卒中原因等混杂变量后,探索后循环LVO患者EST通过次数与功能预后之间的关系。其次,来自德克萨斯大学休斯顿麦戈文医学院神经内科的Jerome A.等试图证实前循环LVO实现FPE的功能预后与后循环LVO实现FPE的预后相当。相关内容已于2023年2月在线发表于《Stroke: Vascular and Interventional Neurology》。
——摘自文章章节
【REF:Jerome A, et al. Stroke Vasc Interv Neurol. 2023 Feb 25. doi:10.1161/SVIN.122.000663】
据估计,在美国大血管闭塞(LVO)所致急性缺血性卒中(AIS)的发病率为每10万人每年24例(每年约80000 LVOs),其中约10%由后循环闭塞所致。尽管血管内卒中治疗(EST)已广泛用于治疗发病24小时内前循环LVOs的AIS患者,并可以改善其预后,但是直到最近除了ATTENTION和BAOCHE试验外仍然没有随机对照试验显示EST对后循环AIS的益处。在影响临床预后的几个因素中,首通效应(FPE)已被证明可以提高前循环AIS治疗后的功能独立性。然而,对于椎动脉、基底动脉和脑后动脉闭塞,FPE对预后的影响仍不完全。来自MR CLEAN注册的数据显示,实现首通的后循环LVO患者比未实现首通的患者预后更好。然而,在亚组分析中,如果多次尝试可实现TICI 2C-3级的良好再通,最终患者预后可以没有差异,这一发现也与TREVO登记研究的结果相似。对基底动脉闭塞患者的亚组分析显示,在比较首次再通和多次再通时,功能预后没有差异。这些发现与Terceño等人的研究结果相矛盾,Terceño等使用CICAT数据库报告称,首过再通可增加良好预后的可能性,而随后的每一次通过均可降低良好预后的可能性并增加死亡率。同样,Luo等人发现了几个显著影响后循环LVO患者功能独立性的因素,其中包括EST的操作次数。在这些登记研究中,有显著的多种混杂因素,这也可能是造成结果差异的原因。
因此,本研究在控制了包括年龄、NIHSS、闭塞位置和卒中原因等混杂变量后,探索后循环LVO患者EST通过次数与功能预后之间的关系。其次,来自德克萨斯大学休斯顿麦戈文医学院神经内科的Jerome A.等试图证实前循环LVO实现FPE的功能预后与后循环LVO实现FPE的预后相当。相关内容已于2023年2月在线发表于《Stroke: Vascular and Interventional Neurology》。
从前瞻性的包括美国休斯顿4大综合卒中心的登记数据库中,纳入2018年1月至2021年6月连续入组接受EST治疗的椎基底动脉闭塞的AIS患者且有90天mRS,并在手术时前瞻性地记录了取栓次数和每次通过后再灌注等级。主要结局是90天EST通过次数与功能独立性(mRS 0-2)的相关性。次要结局包括实现充足再灌注(TICI 2b-3)的可能性。
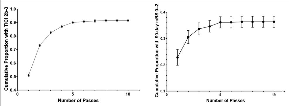
共纳入894例接受EST治疗的LVO-AIS患者中,中位年龄为68岁(IQR,58-78岁),49%为女性,NIHSS中位数为16(IQR,11-21)。在该队列中,86例(9.6%)发生后循环LVO,其中65例(7%)发生基底动脉闭塞,9例(1%)发生椎动脉闭塞,后循环AIS-LVO的基线及临床特点在1-2次EST和3次EST操作2组间无统计学差异,见表1、2。对于前循环和后循环AIS,多次再通实现成功再灌注的收益递减是相似的。在后循环卒中患者中,EST次数少即获得成功再灌注与90天良好功能预后的可能性更大(mRS 0-2:1-2次vs 3次以上,40.0% vs 4.8%,P = 0.003)通过1-2次EST获得成功再通的AIS患者,后循环预后良好的可能性与前循环LVO患者相当(后循环vs前循环,40.0% vs 40.2%, P = 0.553),见表3,4,图1,2,3。
表1. 后循环缺血性卒中患者的基线特征
表2. 后循环缺血性脑卒中患者的临床特点
表3. 再通次数与成功再灌注和功能预后相关性的单因素分析
表4. 再通次数与后循环缺血性脑卒中成功再灌注和功能预后相关性的多变量分析
图1. 后循环AIS患者每通过一次额外EST对成功再灌注(左)和良好预后(右)的累积收益分析
图2. 对前循环AIS患者每通过一次额外EST在成功再灌注(左)和良好预后(右)方面的累积收益分析
图3. 前循环和后循环AIS的比较显示了额外EST对成功再灌注 (左)和良好预后(右)的累积益处
对于后循环LVO-AIS患者,EST通过次数与90天的功能独立性显著相关。再通尝试2次之后,额外的再通尝试所带来的收益将显著降低。后循环再灌注成功通过次数在1-2次患者的总体临床结果与前循环LVO患者相似。

关注急性缺血性卒中

点击或扫描上方二维码
查看更多“介入”内容