
脑膜瘤是成人最常见的原发性颅内肿瘤之一,其中2级(非典型)、3级(间变性)高级别亚型侵袭性强,术后放疗易复发,长期缺乏有效的系统性治疗。NF2基因缺失、CDKN2A/CDKN2B失活是高级别脑膜瘤的高频驱动突变,也是精准靶向的关键靶点。
在此背景下,美国麻省总医院布莱根癌症研究所牵头,联合美国肿瘤临床研究联盟及全美多家顶尖癌症中心,共同完成了Alliance A071401 II期伞式临床试验。该试验是首项针对脑膜瘤的全国性基因组驱动临床试验,先检测患者肿瘤的基因突变类型,再匹配对应的靶向药物进行治疗。其中,CDK4/6口服抑制剂阿贝西利(商品名:唯择®)治疗组是试验核心分支,专门针对携带NF2突变或CDK通路异常患者评估药物的靶向疗效。最终,阿贝西利对NF2突变或CDK通路异常的复发或进展性2/3级脑膜瘤患者疗效明确,达到主要终点,为难治性脑膜瘤开辟了精准治疗路径。相关结果于2026年1月在线发表在《Nature Medicine》(IF:50.0/Q1)上(doi:10.1038/s41591-025-04141-4)。

具体而言,研究的入组标准为经手术或放疗后复发或进展的2/3级脑膜瘤患者,且肿瘤组织检出NF2突变或CDK通路异常。治疗方案为阿贝西利200mg口服、每日两次,28天为一个治疗周期。主要终点设定为6个月无进展生存率(PFS6)或客观缓解率(RR),任一终点达到预设阈值即判定试验成功。具体成功阈值为PFS6≥8/24例,或RR≥3/24例。
研究共筛查96例患者,最终36例接受治疗,前24例用于主要终点分析。结果显示,中位随访21个月,PFS6达58%(14/24),远超阈值,达到主要终点。最佳缓解程度为“疾病稳定”(66.7%,16/24),未观察到完全或部分缓解。患者中位PFS为10.1个月,中位总生存期(OS)为29.1个月。相比既往研究中2/3级脑膜瘤二线治疗PFS6的0%~29%,以及更近期的RANO汇总基准(38%),阿贝西利PFS6的58%呈现显著优势。
前24例患者的PFS6与缓解程度


前24例患者Kaplan-Meier生存曲线(a:OS;b:PFS)
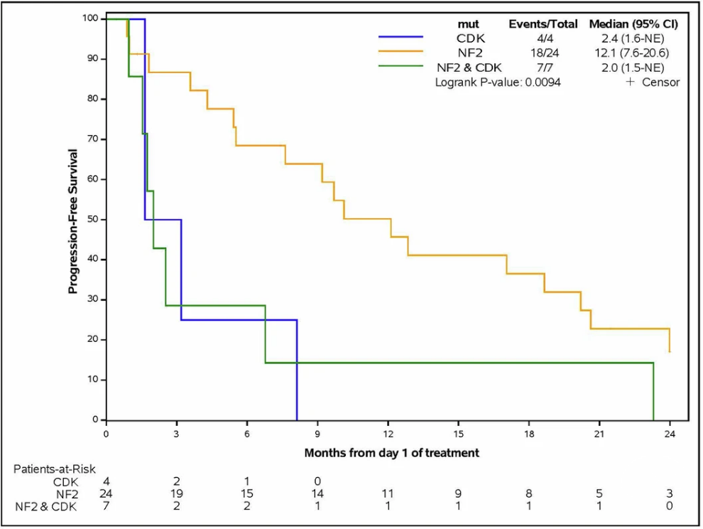
安全性方面,36例患者中治疗相关不良事件可控,与已知安全谱一致。9名患者发生3级不良事件,2名患者发生4级不良事件(ALT/AST升高、呕吐)。常见≥3级事件包括贫血、中性粒细胞减少、腹泻、疲劳。仅7例因不良事件终止治疗。此外,亚组分析显示,单纯NF2突变患者的中位PFS达12.1个月,优于单纯CDK通路异常者。
3级及以上治疗相关不良事件


按突变类型分组的PFS
对于研究结果,第一作者暨通讯作者、麻省总医院布莱根癌症研究所医学副教授Priscilla Brastianos博士表示:“复发或进展性高级别脑膜瘤患者长期面临治疗选择匮乏的困境,既往大多数药物治疗试验的结果不佳。我们的试验是首个基于基因突变检测筛选入组脑膜瘤患者的全国性研究,体现了在脑膜瘤领域开展基因组驱动型临床试验具有可行性,靶向治疗也有望为携带特定基因突变的脑膜瘤患者带来更好的治疗结局。不过,虽然试验结果振奋人心,仍需针对此类患者群体持续探索,继续完善治疗方案。”

点击左侧二维码
进入风向标专栏
查看更多精彩文章
![]()
声明:脑医汇旗下神外资讯、神介资讯、神内资讯、脑医咨询、Ai Brain 所发表内容之知识产权为脑医汇及主办方、原作者等相关权利人所有。
投稿邮箱:NAOYIHUI@163.com
未经许可,禁止进行转载、摘编、复制、裁切、录制等。经许可授权使用,亦须注明来源。欢迎转发、分享。




