【Ref: Nakagawa Y, et al. WorldNeurosurg. 2017 Jun 27. pii:S1878-8750(17)31021-5. doi: 10.1016/j.wneu.2017.06.126. [Epub ahead of print]】
大多数胶质母细胞瘤(GBM)患者生存期不超过2年,即为短期生存(short-term survivors,STS);少数可存活3或5年以上,为长期生存(long-termsurvivors,LTS)。研究长期生存的GBM患者临床和分子学特征,或许有助于指导GBM患者的治疗和护理。近期,日本东京新宿庆应大学医学院神经外科的Yu Nakagawa等研究长期生存的胶质母细胞瘤患者的临床和分子学特征。结果发表在2017年6月《World Neurosurgery》在线。
该研究分析1990年4月至2011年12月的96例胶质母细胞瘤患者的临床资料。将生存3年以上定义为mLTS,生存5年以上为LTS,存活不到2年为STS;比较影响不同生存期患者的临床和分子学因素。
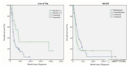
随访结果显示,96例患者平均随访时间与生存期分别为13与16个月,其中50例(68%)为STS, 17例(24%)为mLTS(包括 LTS),7例(10%)为LTS。统计学分析显示,与STS者相比,<50岁的低龄、较优良的RPA等级、肿瘤未侵入室管膜下区(SVZ)、MGMT基因甲基化以及19q丢失与mLTS者相关。校正相关因素后发现,低龄与MGMT甲基化与mLTS独立相关。与STS者相比,低龄、较优良的RPA等级、肿瘤未侵入SVZ以及19q丢失与LTS者相关。校正相关因素后发现,低龄以及较优良的围手术期KPS评分与LTS者独立相关。Kaplan–Meier分析揭示,低龄、较优良的围手术期KPS分数(≥70)、肿瘤未侵入SVZ以及19q丢失与总生存期(OS)较长相关。多变量分析结果显示,仅年龄与OS相关(图1、表1)。

图1. Kaplan–Meier分析胶质母细胞瘤患者预后因素。左图19q缺失;右图MGMT启动子甲基化。
表1. 影响胶质母细胞瘤患者生存期的单因素及多因素分析。

最后作者指出,与短期生存者相比,低龄以及较优良的围手术期KPS分数是长期生存者的特点。MGMT甲基化与mLTS者相关,但不与LTS者相关。另外,肿瘤未涉及室管膜下区以及19q丢失或许可以作为生存期较长的预测因子。
(Tim编译,复旦大学附属华山医院陈灵朝博士审校,《神外资讯》主编、复旦大学附属华山医院陈衔城教授终审)
相关链接




