《Neurosurgical Review》杂志2025年3月27日在线发表北京首都医科大学宣武医院的Hongyun Zhang , Lixin Xu , Jiankun Xu , 等撰写的《免疫疗法促进伽玛刀治疗后未受照射的脑转移瘤的自发消退:颅外远隔效应?Immunotherapy promoting spontaneous regression of non-irradiated brain Metastases following gamma knife treatment: an intracranial abscopal effect?》(doi: 10.1007/s10143-025-03505-1.)。
放疗已被证明可能诱导全身抗肿瘤免疫,这一现象可能通过免疫检查点抑制剂(ICI)治疗进一步增强。然而,这种现象是否发生在伽玛刀放射外科治疗脑转移瘤(BMs)后及对其潜在的临床意义仍然知之甚少。
我们回顾性分析了36例接受多阶段GKRS治疗的非小细胞肺癌多发性脑转移瘤(NSCLC)患者。自发性肿瘤消退(STR)定义为未受照射的肿瘤体积缩小≥30%。竞争风险分析和Cox回归用于评估局部进展、远处脑失效(DBF)和生存结局。
在本研究中,44%(16/36)的患者接受了ICI治疗。38.9%(14/36)的队列患者出现STR。对比分析显示,接受ICI治疗的患者并没有表现出改善的总生存期(OS) (p = 0.46),但与未接受ICI治疗的患者相比,STR发生率有较高的趋势(56.3%对25.0%,p = 0.056)。多变量回归分析发现,STR缺失是死亡率的独立危险因素(危险比[HR], 7.69;95%CI: 1.61-33.33;p = 0.009)和局部肿瘤进展(HR, 5.05;95% CI: 1.71-14.93;P = 0.003)。
GKRS可诱导全身抗肿瘤免疫,引起非受辐照肿瘤的STR。与没有这种反应的患者相比,表现出这种现象的患者生存率和局部肿瘤控制显著提高。这些发现强调了GKRS潜在的免疫调节作用及其在脑转移瘤治疗中的临床意义。
引言
近50%被诊断为非小细胞肺癌(NSCLC)的患者发生脑转移瘤,并与不良预后相关。如果没有有效的治疗,这些患者的中位生存期通常只有6个月。目前,全脑放疗(WBRT)和包括伽玛刀放射外科(GKRS)在内的立体定向放射外科(SRS)等放射治疗是NSCLC患者颅内转移的标准治疗方法。GKRS尤其受到青睐,因为它能精确靶向肿瘤,同时不影响周围脑组织,从而加强局部肿瘤控制,减少对健康脑区的伤害。尽管取得了这些进展,但多发性NSCLC转移患者的预后仍然黯淡,GKRS治疗后的中位生存期10个月左右,常因疾病进展而发生新的转移或肿瘤复发。
放疗通常被视为局部治疗,但也可以通过引起肿瘤细胞死亡、揭示新抗原和激活T细胞来引发全身抗肿瘤免疫反应。这些被激活的T细胞可导致全身性抗肿瘤作用,并可能导致远处未受辐照肿瘤的消退,这种现象被称为“远隔效应(abscopal effect, AbE)”。有证据表明,经历AbE的转移性实体瘤患者可能延长了生存时间。最近,AbE报告的增加与免疫检查点抑制剂(ICIs)的广泛使用相一致,这表明免疫治疗可能协同增强辐射诱导的抗肿瘤免疫的有效性,从而改善晚期肿瘤患者的预后。然而,对于脑转移瘤患者,关于GKRS治疗背景下辐射诱导的全身抗肿瘤免疫的研究有限,其与ICIs的相互作用仍然知之甚少。
在这项研究中,我们检查了一组在我们研究所接受GKRS治疗的多发性脑转移瘤的NSCLC患者,以评估GKRS与ICIs的相互作用及其对GKRS治疗后临床结果的影响。
材料和方法:
病人
本研究回顾性分析了宣武医院2021年11月至2023年7月伽玛刀放射外科治疗的脑转移瘤患者的资料。
多发性NSCLC脑转移瘤患者如果符合以下标准,则被纳入:1)在我们医疗机构接受了多次GKRS, 2)在初始GKRS治疗后仍有未受放射外科治疗的病变。排除以下患者:1)先前接受过WBRT, 2)在第一次GKRS治疗后磁共振成像(MRI)随访失败,或3)同时接受靶向药物治疗。
我们收集了患者人口统计学、肿瘤特征和治疗细节的数据。结果和总生存期(OS)也进行了评估。肺免疫预后指数(LIPI)是根据乳酸脱氢酶水平和衍生的中性粒细胞与淋巴细胞比值绝对中性粒细胞计数/(白细胞总数-绝对中性粒细胞计数)计算的,将患者分为0分(良好),1分(中等)或2分(差),用于转移性NSCLC 的预后评估。这是一项观察性研究。宣武医院伦理委员会已确认不需要伦理审批。
治疗
所有患者均使用Leksell伽玛刀(Elekta AB, Stockholm, Sweden)接受SRS治疗。采用Leksell G型立体定向框架治疗,固定牢固;使用Icon型,创建了一个自定义面罩。
患者接受立体定向MRI成像,获得体积获取对比度增强和长松弛时间图像的1毫米图像。每个转移性病变都由治疗医生在T1加权钆增强图像上单独勾画出来。使用半自动边缘检测工具(荷兰埃因霍温,Philips,IntelliSpace Portal 11, )在各向同性T1加权对比度增强图像中确定病灶体积。
在我们的医疗机构,由于考虑到患者的耐受性,单次GKRS治疗的持续时间被限制在最多两个小时。对于在此时间限制内肿瘤无法完全治疗的高病变负荷患者,我们采用了多阶段GKRS方法。具体来说,这些患者被安排在一个月内返回我们的机构进行第二次治疗。治疗计划通常包括50% - 70%的等剂量线,由医生根据患者的具体需求量身定制。所有给药计划在治疗开始前完成。对患者进行常规临床监测,并每三个月通过系列MRI进行监测。
“同步治疗”是指在第一次GKRS治疗前后一个月内接受PD-1抑制剂或靶向药物治疗的患者。要纳入ICI组,患者必须在SRS治疗前后的三个月内开始免疫治疗。
结果评价
总生存期(OS)定义为从初始GKRS到任何原因死亡的时间,包括全身性和其他不相关的癌症疾病的进展。局部进展的特征是病灶体积增加≥72.8%,>比基线增加0.2 cm3。远处脑失效被确定为在SRS治疗后获得的T1增强MR图像上出现新的脑转移灶。未能随访的患者因远处脑失效而被剔除。自发性肿瘤消退(STR)被定义为未受照射病变体积缩小30%以上。从肺癌诊断之日起至检测到脑转移瘤之日计算脑转移时间。
统计分析
使用Fisher精确检验对分类变量分析患者特征。对于正态分布的数据,使用Student's t检验;对于非正态分布的数据,使用Mann-Whitney U检验。时间-事件分析采用Kaplan-Meier曲线和log-rank检验。采用单变量Cox回归和多变量Cox比例风险回归计算风险比(hr),确定独立预后因素。为了考虑竞争风险(患者死亡与局部进展/远端脑衰竭),使用Fine-Gray亚分布风险模型[15]估计GKRS后的累积事件概率。p<0.05为差异有统计学意义。使用GraphPad Prism 8和r4.2.1进行分析。
结果
病人的特点
共纳入36例NSCLC患者的379个脑转移瘤。从最初的肺癌诊断到诊断为脑转移瘤的中位时间为5.0个月(四分位数间距[IQR], 0 - 40个月)。该队列的平均年龄为59.0±12.3岁,其中33.3%的患者为女性,38.9%的患者有EGFR或ALK突变。Karnofsky Performance Status评分中位数为90 (IQR, 80-100)。肺腺癌占83.3%(30/36),肺鳞状细胞癌占16.7%(6/36)。47.2%(17/36)的患者获得原发性肿瘤控制,而8.3%的患者预后不良。
针对329个NSCLC脑转移瘤,整个队列共接受了74次GKRS治疗。每位患者接受治疗的中位数为2次(IQR, 2 - 2)。肿瘤接受的中位周边剂量为18 Gy (IQR, 15-23.7)。16例(44.4%)患者接受了ICI治疗,其中11例为“同补治疗”。在整个队列的初始GKRS阶段,共有189个NSCLC脑转移瘤接受了治疗,而190个肿瘤未接受放疗。每位患者未放射外科治疗病灶中位数为5个(IQR, 1-7.8),未放射外科治疗肿瘤体积占肿瘤总体积的比例为3.9% (IQR, 1%-10%)。患者的详细基线特征总结于表1。
整个队列的中位影像学随访期为6.5个月(IQR: 4-11.25个月)。所有放射外科治疗脑转移瘤均实现肿瘤消退。24例肿瘤发生局部进展(7.3%),1年累积发病率为7.27% (95% CI: 4.4%-11.1%)。对于未放射外科治疗的脑转移瘤,14例患者中57例肿瘤出现STR,总发病率为38.9%(图1)。在中位临床随访10个月(IQR: 5.25-13.75个月)期间,全因死亡率为47.2% (17/36),GKRS后中位总生存期(OS)为12个月。
图1未受照射肿瘤的自发消退:一名女性患者在被诊断为肺腺癌两年后发生脑转移。伽玛刀立体定向放射外科(GKRS)靶向脑病变(A, B, C,红圈靶)。21天后,第二阶段放射外科治疗前的治疗前MRI显示非靶区病变明显自发消退(图D、E、F中的白色圆圈)。
ICI对临床结果的影响
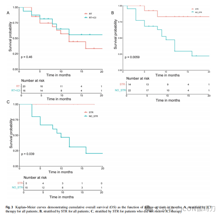
接受ICI治疗的患者与未接受ICI治疗的患者的基线特征具有可比性,两组的中位影像学随访时间具有可比性(6个月vs 8.5个月,p = 0.987)(表1)。MRI随访显示,接受ICI治疗的患者1年累积远处脑失效发生率高于未接受ICI治疗的患者的;然而,差异无统计学意义(52.3% [95% CI: 16.2%-19.2%]vs。33.1% [95% ci: 12.5%-55.5%];P = 0.31;图2 a)。ICI组1年累积放射影像学局部进展发生率显著降低(1.2% [95% CI: 0.3%-3.8%] vs. 10.7% [95% CI: 6.1%-17.6%];p = 0.003;图2 b)。同时,与未接受ICI治疗的患者相比,接受ICI治疗的患者STR发生率更高(56.3%[95% CI: 19.7%- 70.1%]对25.0%[95% CI: 8.6% -49.1%], p=0.056)。然而,临床随访显示,ICI组与非ICI组的生存率无显著差异(p=0.46)(图3A)。
影响生存结果的因素
为了进一步研究预后因素,我们进行了多变量Cox回归分析。结果表明,STR缺失(风险比[HR], 7.69;95% CI: 1.61-33.33;p=0.009),最大转移灶体积较大(HR, 1.075;95% CI: 1.037-1.115;p<0.001),绝对淋巴细胞计数较低(HR, 9.09;95% CI: 2.07-40.00;P =0.003)是全因死亡率的独立危险因素。(表2)。在非STR组中,中位总生存期(OS)为10个月,而STR组中位OS未达到(图3B)。对未接受ICI治疗的20例患者进行敏感性分析。中位随访时间为10个月(IQR, 5-13.75个月),STR患者的生存结果明显优于无STR患者(p=0.039,图3C)。
在这个队列中,有或没有STR的患者的放射随访时间是相当的(中位,9个月vs. 5个月,p = 0.227)。GKRS后检测到STR的中位时间为22天(IQR: 11.5-35.5天)。多变量logistic回归分析发现,ICI治疗是STR的唯一独立预测因子(优势比[OR]=6.619, 95% CI: 1.19-56.78, p=0.047,表3)。值得注意的是,除了生存率外,STR组1年累积放射学局部进展发生率显著低于非STR组(1.0% [95% CI: 0.1%-3.5%]对11.6% [95% CI: 6.8%-18.2%];P = 0.039;图4A),多变量Cox回归证实非str是局部进展的独立预测因子(HR, 5.05;95%CI: 1.71-14.93;p= 0.003)(补充表1)。STR组1年累积远端脑失效发生率较高(61.3% [95% CI: 21.5% ~ 85.6%] vs. 29.6% [95% CI: 11.3% ~ 50.8%]),但差异无统计学意义(p=0.13;图4 b)。单因素Cox分析也未能揭示远处脑失效的任何预测因素(补充表2)。
讨论:
在这项研究中,我们发现大约38%的患者和25%未接受ICI或靶向治疗的患者在GKRS治疗后出现了非受辐照肿瘤的自发消退。同时,结果表明,这种现象可以作为该队列预后良好的预后指标。在接受免疫治疗的患者中,这种现象的发生率较高,表明与全身抗肿瘤免疫有潜在的联系。这种机制似乎与AbE相似,AbE在颅外转移患者中有典型的记录。1953年,Mole首次记录了非受辐照区肿瘤消退的现象,并将其命名为AbE。在原发和转移部位观察到的同步反应强烈表明免疫系统的参与。这些推测得到了临床前研究的支持,这些研究并未在免疫缺陷小鼠中观察到AbE。此外,先前的研究证实免疫系统功能显著影响原发肿瘤的放射影像反应,提示免疫效应与肿瘤放疗之间可能存在协同作用。
在过去的二十年中,AbE的一般机制已经确立:肿瘤细胞中的辐照增强了肿瘤抗原的呈递,然后这些抗原被树突状细胞吸收。这些交叉启动的树突状细胞迁移到淋巴结并与幼稚T细胞相互作用,导致CD8+细胞毒性T淋巴细胞(CTL)特异性肿瘤的产生。最终,这些CTL被释放到循环系统中,浸润原发性和转移性肿瘤,导致肿瘤细胞的溶解。此外,特异性CTL可能具有疫苗样作用,可防止病变进一步转移或复发。由于在AbE中观察到的转移性病变的显著和完全缓解,这在单独化疗中是罕见的,因此有必要进一步研究探索可靠诱导AbE的方法。在一项评估放疗和树突状细胞刺激(粒细胞-巨噬细胞集落刺激因子)联合使用的概念验证试验中,Golden等证明了这种方法可以导致客观的远隔效应。此外,与没有这种影响的患者相比,经历这种影响的患者的死亡风险降低了50%。Barsoumian等建立了一种RadScopal技术,通过高剂量和低剂量放疗与免疫治疗相结合来诱发AbE。高剂量辐射用于原发肿瘤以杀死恶性细胞,暴露新抗原和初始T细胞,而低剂量辐射用于继发性肿瘤以使CTL浸润。
AbE的临床意义越来越被认可;然而,值得注意的是,大多数报道的AbE病例局限于颅外部位。虽然脑转移瘤的SRS和WBRT都可能导致颅外AbE,但相反的情况仍然非常罕见。一种被提出的机制是脑内的免疫特权,归因于存在的血脑屏障(BBB),可能阻碍颅内AbE。换句话说,由于血脑屏障的滤过作用,颅内外部位诱导的CTL可能难以接近脑肿瘤。代表性的例子是Ishiyama等人报道的患者,他们在颅外肿瘤中观察到实体AbE;然而,颅内转移同时继续进展。
在目前接受GKRS的患者队列中,近35%的患者表现出颅内AbE样自发消退。尚不清楚尽管潜在的机制,但这一观察结果表明,颅内源抗肿瘤CTL可能具有增强的穿越血脑屏障并浸润颅内肿瘤的能力。这种差异的另一个潜在机制与患者选择有关。在当前的分析中,我们特别选择了接受过多阶段GKRS治疗的颅内转移负荷严重的患者,为评估AbE提供了一个合理的时间框架。然而,根据我们的研究结果,GKRS可以诱导全身抗肿瘤免疫,并且与更长的生存期和有利的局部控制有关。因此,进一步研究其潜在机制对于开发旨在以可预测的方式增强GKRS治疗后颅内抗肿瘤免疫的治疗策略至关重要。
与颅外AbE相似,我们发现该队列中颅内自发消退与ICI密切相关,超过50%的同时接受ICI的患者表现出这种现象。放疗与ICI协同作用的机制已被广泛记载,一些临床研究证实了放疗与ICI联合治疗的安全性。然而,增强放射外科的免疫治疗的最佳时机仍然不确定。在结直肠肿瘤小鼠的临床前研究中,Wei等人证明,与放射手术相关的ICI给药时间显著影响AbE的强度。
他们发现,在照射后施用抗PD -1时观察到AbE,而在照射前施用抗PD -1会降低AbE的活性。临床研究也表明,放射外科治疗前给予ICI可降低AbE。然而,由于样本量有限和当前队列的回顾性性质,GKRS和ICI的最佳时机仍有待进一步研究确定。
另一个值得进一步研究的临床重要考虑是对颅内转移瘤高负荷患者的分阶段放疗策略。
在过去的二十年中,由于GKRS具有令人称赞的局部控制率,同时有效地减少了认知副作用,因此被广泛用于治疗多发性脑转移瘤(即超过10个病灶)患者。然而,对于高病变负荷的患者,可能需要多次放射外科治疗。因此,对于打算在下一轮放疗中照射的病变,采用类似于Barsoumian等人提出的RadScopal技术的分阶段放射外科治疗策略(即,在第一轮治疗中给予低剂量的放疗)可能比将其完好无损地保留到下一轮治疗中效果更好。这些低剂量的辐射可能会破坏血脑屏障并促进类似AbE的反应。新形成的脑转移l瘤或DBF的发生是NSCLC患者非常关注的问题,在当前队列中有38.7%的患者出现了这种情况。
值得注意的是,我们的研究显示自发性消退患者的DBF患病率较高,尽管差异无统计学意义。这一现象应归因于自发性消退患者的生存期明显延长,因此GKRS治疗后随访时间也更长。结果发现,两组患者DBF的生存曲线在前6个月基本重合。自发性消退患者的大多数DBF事件实际上发生在GKRS治疗后6个多月,在此期间,无自发性消退患者的死亡率显著增加,只有30%的患者存活超过1年,而自发性消退患者的生存率为87%。
本研究受到所有回顾性研究固有偏倚的限制,包括回忆或观察偏倚的可能性。目前,免疫治疗已成为晚期NSCLC患者的主流治疗选择。对于接受联合治疗的患者,将未受照射肿瘤的自发消退完全归因于GKRS诱导的抗肿瘤免疫是具有挑战性的。然而,在该队列中,25%接受GKRS的患者仅表现出未受照射肿瘤的自发消退,这为颅内AbE提供了可靠的证据。值得注意的是,为了维持高病变负荷患者的耐受性,我们给该队列患者开了相对较低的剂量(中位数为18 Gy)。因此,GKRS治疗后的全身抗肿瘤免疫强度在理论上可能在接受标准辐射剂量(18-20 Gy)的患者中更为明显。
另一个限制是无法精确定义GKRS治疗后颅内AbE的概念。事实上,作为一种单纯基于影像学的现象,准确表征颅内AbE需要对GKRS治疗后脑转移瘤不进行治疗,并进行长期影像学随访,而无需进一步干预,这在伦理上提出了重大挑战。因此,未来的研究应侧重于使用非成像方法评估GKRS治疗后的抗肿瘤免疫反应,如外周血免疫细胞和免疫生物标志物评估。此外,虽然本研究部分观察到GKRS后自发消退患者与非自发消退患者的预后差异,但相对较短的随访期使我们无法提供非辐照病变自发消退患者的中位生存时间。
结论
GKRS可诱导全身性抗肿瘤免疫,使未受辐照肿瘤发生AbE样自发消退。与没有这种现象的患者相比,表现出这种现象的患者生存率和局部肿瘤控制显著提高。因此,对于病变负荷高的患者,建议考虑更积极的治疗策略,如RadScopal技术,以增强GKRS治疗后的全身抗肿瘤免疫。需要进一步的研究来确定ICI给药的最佳时间和顺序,以及对颅内转移瘤高负荷患者的分阶段放疗策略。

声明:脑医汇旗下神外资讯、神介资讯、神内资讯、脑医咨询、Ai Brain 所发表内容之知识产权为脑医汇及主办方、原作者等相关权利人所有。