![]()
脑机接口(BCI)是一项涉及与大脑部分直接通信的技术,近年来发展迅速;它已经开始用于临床实践,如患者康复。患者脑电图(EEG)数据集对于BCI的算法优化和临床应用至关重要,但目前还很少见。我们收集了50例急性中风患者使用无线便携式生理盐水脑电图设备在执行两项任务时的数据:1)想象右手运动和2)想象左手运动。该数据集包括四种类型的数据:1)运动想象指令,2)原始记录数据,3)去除伪影和其他操作后的预处理数据,以及4)患者特征。这是第一个处理急性中风患者左手和右手运动图像的开放数据集。我们认为,该数据集将非常有助于分析脑激活和设计更适用于急性脑卒中患者的解码方法,这将极大地促进运动想象领域-BCI领域的研究。
![]()
尽管预防和治疗措施有所改善,但中风仍然导致高发病率、高残疾率和高死亡率。它是世界范围内的主要死亡原因之一,并导致长期残疾。重要的是,大多数中风患者的上肢存在残余运动障碍,这进一步限制了他们的日常活动能力,给家庭和社会带来了沉重的负担。而上肢功能的康复是脑卒中患者的一个重要治疗目标。
近年来,允许设备直接与大脑部分通信的神经假肢,脑机接口(BCI)已经迅速发展,并广泛应用于医学领域。BCI是一种新的治疗方法,用于使上肢功能恢复;因此,BCI可以促进中风患者的康复。用于开发BCI的脑数据可以通过多种技术获得,包括脑电图(EEG)、脑磁图(MEG)、功能磁共振成像(fMRI)和近红外光谱(NIRS)。在这些技术中,脑电图因其非侵入性、高时间分辨率、便携性和相对较低的成本而得到了广泛的应用。
运动想象(MI)涉及想象运动活动的表现,导致相应运动皮层活动的变化,这是基于脑电图的脑机接口的一个重要范式,在神经康复中有广泛的应用然而,由于脑电图信号的动态特性,在使用之前,必须通过解码脑电图数据集来训练分类器。对于脑电图解码的特征,公共空间模式(CSP)是投影的最优空间信号集,是常用的方法。提出多频段下的多特征融合提取,提高MI数据解码精度。对于机器学习和深度学习,MI解码算法通常需要在从不同的受试者(健康受试者和中风患者)获得的大量数据集上学习和验证模型的鲁棒性。
值得注意的是,一些MI数据集已经公开可用,如脑电图自步键输入,脑电图同步想象运动,数据集Ia,BCI竞争III,BCI竞争IV,以及其他相关数据集。然而,这些数据集收集自健康的人,而不是中风患者,因此在临床应用中受到限制。这些现有数据集的其他局限性包括记录时间短、样本量小和BCI信号数量少。这些局限性不仅表明需要提高数据集的准确性,还需要一个数据集,用于中风患者的研究、开发和应用,特别是在上肢功能障碍患者中。因此,脑电图数据集对恢复脑卒中患者上肢功能至关重要。
实验方法
每次实验持续约20分钟,包括准备时间和约10分钟的信号记录。MI实验开始前,患者睁开眼睛闭眼1分钟。MI实验分为40次试验,每次试验时8秒,包括三个阶段(指令、MI和休息),如图1e所示。在指导阶段,提示患者想象用左手或右手抓取一个球形物体,如图1a所示。在MI阶段,参与者想象表演这个动作,在电脑上播放一段扣人心弦的动作视频,让病人想象抓球。这个视频会持续播放4秒。患者只想象一只手的运动,如图1b所示。在休息阶段,被试放松休息,如图1c所示。
![]()
数据收集和预处理
脑电图数据通过无线多通道脑电图采集系统(ZhenTec-NT1,西安臻泰智能科技有限公司)采集,如图2所示。该系统包括脑电图帽、脑电图采集放大器、数据接收机和主机软件。脑电图帽根据国际10-10系统放置电极,包括29个脑电图。记录电极和2个眼电图(EOG)电极,如图2a所示。参考电极位于CPz位置,接地电极位于FPz位置。所有的脑电图电极和接地电极均为Ag/AgCl半干式脑电图电极,基于高可吸收的多孔海绵,用3%氯化钠溶液抑制。EOG电极由Ag/AgCl电极和导电粘合剂水凝胶组成。共模抑制比为120 dB,输入阻抗为1 GΩ,输入噪声小于0.4µVrms,分辨率为24位。采集阻抗小于或等于20 kΩ。采样频率为500Hz。
使用MATLAB(R2019b)的EEGLAB工具箱对收集到的数据进行预处理。我们采用平均去除法进行基线去除,并对0.5~40Hz的数据进行时域变换。用标记“1”分为“试验×通道×时间样本”格式。
数据记录
MI脑电图数据集的数据可以通过Figshare数据存储服务访问,该数据集中的源数据和脑电图数据根据脑电图成像数据结构(BIDS)进行组织。EEG-BIDS提供了脑电图数据和相关的信息,记录了实验中所覆盖的几乎所有信息,可以帮助用户快速、直接地使用这些数据集。
我们的存储库的目录树如图3所示。存储库由四种类型的数据组成: (1)刺激,是实验过程中使用的刺激材料;(2)源数据是MI任务中记录的原始脑电图数据,保存为“subxx”命名;(3)处理后的数据,保存为。edffles,按主题编号“subxx”命名;(4)等信息,包括用户信息、电极位置、脑电图标记事件。
脑电活动映射(BEAM)
为了研究运动区域的激活,我们计算了阿尔法和bepta波段(8-30Hz)的平均功率分布,并根据通道位置将其绘制在地形图上。从左侧和右侧MI任务中的数据生成的图显示了对侧运动区ERD的清晰模式。
如图4所示,C3的功率一直高于C4在MI在大多数受试者1-5、8-11、13、15、15、18、20、25、25、28、29、32、36、38、40、44、47和49)(23/50=46%),而C4的功率始终高于C3在右撇子MI。受试者(2、4、8、10、11、11、14、15、18、19、22、24、27、28、31、40、41-43和47-49)(21/50=42%)表现出更明显的对侧优势。根据 50 名患者中,轻度至中度偏瘫患者在MI时的对侧脑电图活动更为明显。然而,一些受试者在进行右手 MI 时,C3 在 8-30Hz 的功率高于 C4。要确定这一结果是否与偏瘫侧有关,还需要进一步分析。
其脑电图地形图结果与功率变化的结果基本相同。由于脑电图数据是从多个通道采集的,因此采集电极的排列可能存在一定的偏差,这可能解释了为什么具有ERD/ERS的通道并不总是C3和C4。
定量分析
我们验证了左手与右手MI脑电图数据的可鉴别性,以确定分类的准确性。每个受试者的所有试验都经过高通频率和参考的预处理,然后在频谱(8-30Hz的数据)和时间(刺激开始前0-4秒)进行频率测试。
测试的算法包括一种流行的方法(CSP + LDA)和一种基于FBCSP+SVM20的新方法。第二组算法基于黎曼几何的概念进行分类。这些方法的基本思想是对属于对称正偏角(SPD)矩阵的黎曼流形的脑电图时代的空间协方差矩阵(SCMs)进行采样,流形上任意SPD矩阵的切空间都是一维欧几里得空间。经过测试的黎曼分类方法包括到黎曼均值的最小距离(MDRM)、TSLDA35、Fisher判别测地线变换,然后是MDRM分类(DGFMDRM36)和以往方法的决策融合,包括TSLDA方法和DGFMDRM方法(TSLDA+DGFMDRM)。
对每个受试者的MI脑电图数据分别分为两组:训练数据(60%)和测试数据(40%)。为了更好地检测结果的偏差,我们采用了10倍交叉验证方法,如图5所示。
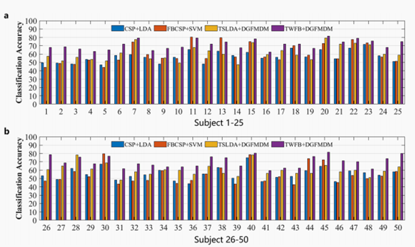
图6为四种分类模型下所有受试者对应的分类精度结果。CSP+LDA、FBCSP+SVM、TSLDA+DGFMDRM和TWFB+DGFMDM值分别为55.57%、57.57%、61.20%和72.21%。利用该数据集的分类性能也显示出与其他常见算法的一些差异,表明该数据集是可靠的。如图7所示,混淆矩阵的横轴表示识别方法预测的MI类别(左或右运动),纵轴表示实际MI类别,对角元素表示每个MI类别正确分类的总数,非对角元素表示每个MI类别不正确分类的总数。
结论
在本文中,我们收集了50名急性中风患者的数据,创建了一个总共包含了2000个(=50×40)手握MI脑电图试验的数据集。受试者根据屏幕上的提示完成特定的MI任务,同时记录他们的脑电图数据。公共数据集由四组数据组成:MI指南材料、原始脑电图数据、预处理数据(直接用于对试验数据的分类)和患者特征。我们提供了这些数据,以便研究人员可以重用他们所看到的数据集。
利用这个数据集,我们首先比较了急性脑卒中患者的左、右脑电图数据,并使用现有的基线数据和最先进的方法执行二进制解码任务,以证明收集到的脑电图数据可以根据手使用进行分类。此外,我们提出了最优时间窗和频率判别测地线闪烁和最小平均距离(TWFB+DGFMDM),以提高解码性能。在该数据集中,我们提出的方法获得了72.21%的解码准确率。我们希望我们的数据集将极大地促进MI-BCI对脑激活的研究,并能为中风患者的临床康复计划提供信息。
来源:脑机接口社区 TTBCI
![]()
专栏作者
杨艺 主任医师
首都医科大学附属北京天坛医院
主任医师,国家神经疾病医学中心脑机接口转化研究中心执行副主任。北京大学八年制医学博士,英国牛津大学Nuffield临床神经科学中心访问学者。北京脑科学与类脑研究中心青年学者,北京市科技新星。
聚焦于意识障碍疾病的系统诊断、预后预测和神经调控治疗,以及脑机接口新型技术的临床应用研究。2022年作为项目负责人获批“科技创新2030脑科学与类脑研究”青年项目“意识障碍的闭环神经调控治疗”。
![]()
声明:脑医汇旗下神外资讯、神介资讯、神内资讯、脑医咨询、Ai Brain 所发表内容之知识产权为脑医汇及主办方、原作者等相关权利人所有。





