
京津冀神经外科学术年会
天津市神经外科学术年会暨
2023亚洲神经外科学会(ACNS)中期会议
Part.01
Unit
中夏渤海,端阳粽香,为期3天的京津冀神经外科学术年会、天津市神经外科学术年会暨2023亚洲神经外科学会(ACNS)中期会议将于6月22-24日在天津隆重召开。此次会议由天津市医学会、天津市医师协会、亚洲神经外科学会(ACNS)主办,天津市医学会神经外科学分会、天津市医师协会神经外科医师分会、北京医学会神经外科学分会、河北省医学会神经外科学分会承办,天津OPO协办,天津市赵以成医学科学基金会资助。大会组委会诚挚邀请全国同道拨冗参会。
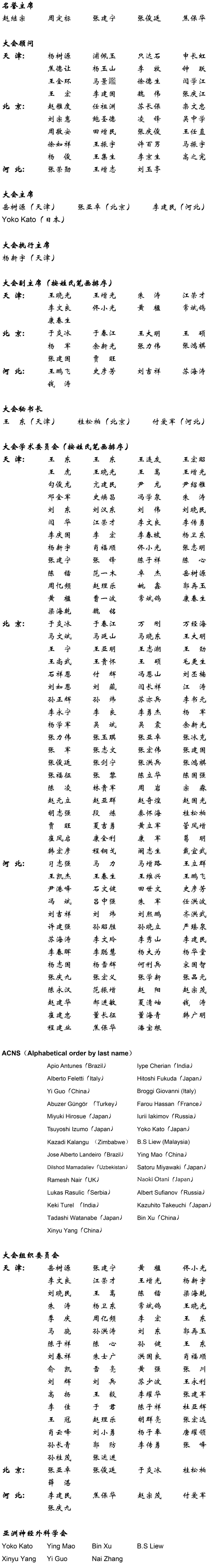
组织机构名单

Part.02
Experts and scholars
本届会议邀请到数百位京津冀地区和亚洲神经外科学会的著名专家学者参会,展示神经外科近年来的新进展与新成就。届时亚洲神经外科学会主席、中华医学会神经外科学分会主委、中国医师协会神经外科医师分会主委将莅临天津,与京津冀三地神经外科学顶级学者、专家齐聚一堂,共同探讨,为神经外科同仁奉献一场学术盛筵。

ACNS专家

Part.03
The Core
Part.04
Detailed schedule








本次会议联系人:
王东:13920732851
权伟:13002216263
2023年颅底及脑血管病国际神经外科培训班6月24日-29日相关信息(点击即可进入)
联系人:宋云飞 18622762976
Part.05
Meeting information

“京津冀神经外科学术年会/天津市神经外科年会暨2023亚洲神经外科学会(ACNS)中期会议”将于2023年6月22日(周四)~24日(周六)在天津康莱德酒店隆重召开。
恰逢端午佳节,由天津市市体育局主办的“体彩杯”天津市第九届市民运动会龙舟比赛暨2023年外商投资企业运动会龙舟比赛将于此期间举办。欢迎各位专家学者,欢聚天津,一览海河龙舟盛况!
直播路径
脑医汇旗下神外资讯直播技术支持

声明:脑医汇旗下神外资讯、神介资讯、神内资讯、脑医咨询、AiBrain 所发表内容之知识产权为脑医汇及主办方、原作者等相关权利人所有。





