
Long-term functional outcomes improved with deep brain stimulation in patients with disorders of consciousness
Yi Yang, Qiheng He, Yuanyuan Dang, Xiaoyu Xia, Xin Xu, Xueling Chen, Jizong Zhao, Jianghong He
doi: 10.1136/ svn-2022-001998

Stroke & Vascular Neurology(SVN)(IF 9.893)最新上线文章“Long-term functional outcomes improved with deep brain stimulation in patients with disorders of consciousness”,来自首都医科大学附属北京天坛医院何江弘教授团队。研究首次系统性回顾了脑深部电刺激(deep brain stimulation,DBS)治疗慢性意识障碍(disorders of consciousness,DOC)的疗效及影响因素,是目前世界范围内病例数量最多、随访时间最长的回顾性研究。

慢性意识障碍(DOC)是指重度颅脑损伤后昏迷超过28天的一类患者,对自身和外界环境反应变差,长期需要人照顾,给家庭和社会带来了沉重的医疗和经济负担。目前为止,尚缺乏有效的治疗手段。脑深部电刺激(DBS)是一种利用立体定向技术在深部核团植入电极的神经外科手术,已被证明是治疗DOC的可能有效手段之一。然而,在全世界范围内尚缺少统一的临床策略,没有系统性的循证医学证据,疗效稳定性也受到质疑,给临床医生造成了很大的困扰。本研究回顾了本团队10年的DBS治疗结果,旨在从长期预后角度确定DBS对治疗DOC的疗效及时效,并确定与患者结局相关的影响因素。
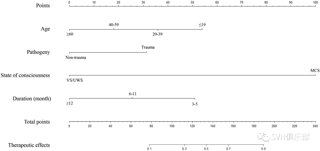
作者团队在“科技创新2030脑科学与类脑研究青年科学家项目(2022ZD0205300)”、“国际(港澳台)科技合作项目(Z221100002722014)”以及“国自然基金项目(81600919)”等计划支持下,回顾性地分析了在2011年7月~2021年12月期间收治的慢性意识障碍患者。通过昏迷恢复量表(Coma Recovery Scale,CRS)(改善>3分)和格拉斯哥结局评分(GOS)系统(>2分)进行评估,应用多变量Logistic回归分析确定了DBS可改善慢性意识障碍患者1年后结局。进一步通过亚组分析,明确了处于微意识状态(MCS)患者在接受DBS治疗后,其受益显著优于处于植物状态/无反应觉醒状态(VS/UWS)患者。


Figure 3. Nomogram of long-term outcome in patients with disorders of consciousness(DoCs)receiving deep brain stimulation(DBS). The pathogeny was classified as trauma or non-trauma(including stroke and anoxia). The therapeutic effect indicates the possibility of improvement in consciousness after receiving DBS in patients with DoCs; this probability ranged from 0(unchanged/died)to 1(effective).
+
研究结论
更多内容,详见文章原文:https://svn.bmj.com/content/early/2023/03/06/svn-2022-001998
何江弘 教授
首都医科大学附属北京天坛医院
首都医科大学附属北京天坛医院主任医师,教授,博士生导师
天坛医院意识障碍外科主任。从事昏迷及植物状态促醒治疗。认知与意识障碍患者隐匿意识的多模态检测与评定;无创神经调控(TMS,tDCS等)治疗方案与评定,外科促醒手术及程控技术。基于检测的精准术后程控;残存意识与运动意图的人机交互输出。在“昏迷与意识障碍领域”近5年Scholarly学术排名中,亚太地区排第一,全球排第八
主持国家重点研发计划重点专项、国家自然基金面上项目等课题。牵头制定中国专家共识2部。荣获北京医学科技奖二等奖(排名第一)
担任中国医师协会神经修复学分会意识障碍学组主任委员
中国神经科学学会意识与意识障碍分会副主任委员
中国神经科学学会学术委员会委员
中华医学会神经外科分会神经生理学组副组长
中国医师协会神经调控分会委员
点击二维码,前往何江弘 教授学术主页
查看更多精彩内容
杨艺 副主任医师
首都医科大学附属北京天坛医院
首都医科大学附属北京天坛医院副主任医师
北京市科技新星
北京脑科学与类脑研究中心青年学者
北京脑重大研究院特聘教授
聚焦于意识障碍疾病的诊断、预后预测和神经调控治疗,以及脑机接口应用的临床研究,在“昏迷与意识障碍领域”近5年Scholarly学术排名中,亚太地区排第二,全球排第十六
作为项目负责人成功获批“科技创新2030—脑科学与类脑研究”专项青年科学家项目,主持国家省部级课题10余项
获得树兰医学青年奖提名,亚太Hygeia女神经外科医生奖,荣获北京医学科技奖二等奖(排名第二),解放军个人三等功
担任中国医师协会神经修复专委会神经网络重建学组副主任委员
中国女医师协会神经外科分会常务委员
中国神经科学学会神经损伤与修复分会委员
中国康复学会颅脑创伤与修复分会意识障碍学组委员
中国神经科学学会意识与意识障碍分会秘书等学术任职
点击二维码,前往杨艺 副主任医师学术主页
查看更多精彩内容
声明:脑医汇旗下神外资讯、神介资讯、神内资讯、脑医咨询、AiBrain 所发表内容之知识产权为脑医汇及主办方、原作者等相关权利人所有。









