来自斯坦福大学附属医学院神经病学系的Nicole Yuen等人分析EVT术前CT灌注成像中决定脑梗死最终体积的参数,结果在线发表在2022年11月的《Journal of Stroke and Cerebrovascular Diseases》。
——摘自文章章节
【REF:Yuen N, et al. J Stroke Cerebrovasc Dis. 2023;32(1):106866. doi:10.1016/j.jstrokecerebrovasdis.2022.106866】
最近的RCTs表明血管内取栓(EVT)治疗可以使基底动脉闭塞(BAO)急性卒中患者获得良好预后。BAO患者EVT术前主要通过CT平扫(NCCT)或CT血管成像(CTA)进行术前评估。由于NCCT上后颅窝内存在明显的颅骨伪影,且后颅窝内脑组织体积较小,基于NCCT评估脑缺血性损伤存在误差。若BAO导致严重缺血性损伤患者接受EVT治疗,可能会掩盖EVT治疗带来的益处。在前循环缺血性卒中患者中脑灌注成像可以很好识别缺血和缺血核心,且对比剂到达所有组织的时间>10秒(Tmax)和CBF明显降低是前循环LVO患者最终梗死体积的强预测因子。尚不清楚脑灌注成像是否能识别出可能受益于EVT的BAO患者。来自斯坦福大学附属医学院神经病学系的Nicole Yuen等人分析EVT术前CT灌注成像中决定脑梗死最终体积的参数,结果在线发表在2022年11月的《Journal of Stroke and Cerebrovascular Diseases》。
研究回顾性分析了2015年1月1日至2021年12月30日在4家医疗中心接受EVT治疗的BAO患者的临床资料,所有患者EVT前接受CT灌注成像扫描。NCCT轴位扫描层厚为2.5-5.0mm,采用RAPID软件进行图像分析。后循环ASPECT(PC-ASPECTS)评分总分为10分,如果NCCT影像上发现脑桥或中脑缺血征象,减2分,而发现小脑、大脑后动脉区域和单侧丘脑缺血征象,则减1分。EVT术后以b值=1000s/mm2行磁共振扫描,手动分割DWI影像上高信号区域,并计算最终梗死体积。记录每个患者的DWI影像手动分割区域和CT灌注成像图中感兴趣区域(Tmax>6s、>8s,>10s、CBF>30%、>34%、>38%)。为了只比较CT灌注成像图中的梗死病灶,将DWI梗死区域与CT灌注成像图未重叠部分去除。以CP灌注成像中病灶与DWI梗死区域重叠部分为最终梗死体积,并与EVT前测量的病灶进行比较。
120例BAO患者中11例患者无EVT术前CT灌注成像像,63例患者无随访MRI图像,12例患者再灌注失败,1例患者合并前循环卒中,5例患者因成像质量差被排除。最终纳入符合标准的BAO患者28例,其中1例患者未获得临床资料(表1示)。患者年龄中位数为67岁(IQR, 54-78), 26%为女性。NIHSS的中位数为12 (IQR, 4-23),发病时间中位数为 1.2小时(IQR, 0.4-4.0)。
表1. 纳入27例患者基线特征。

研究队列患者影像学总体表现良好(表2示),中位PC-ASPECTS评分为9 (IQR 7-10)。由于前循环LVO患者评估缺血核心体积的阈值较低(在CT灌注成像中CBF<30%区域上的中位缺血核心容量为0 mL [IQR 0-0])。
表2.基线CT平扫和CT灌注成像参数。

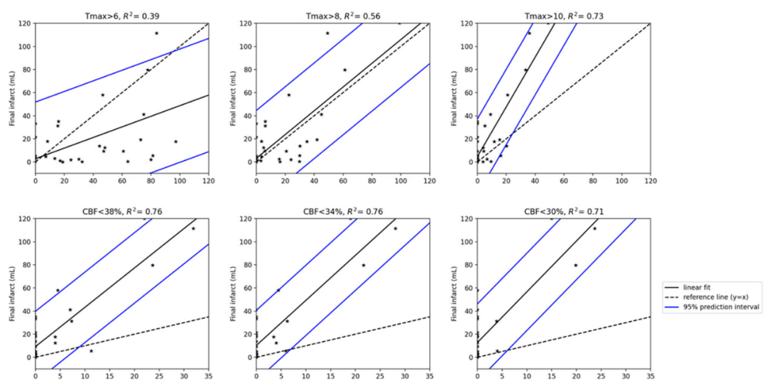
在基线CTP的缺血核心体积与最终DWI梗死体积比较分析中(图1示)。EVT前CTP影像中与DWI中最终梗死体积相关性最高的参数为Tmax>8s和Tmax>10s。

图1.具代表性患者的影像图,CT影像与DWI进行融合。A、CT灌注影像中不同Tmax时感兴趣区域体积。B、Tmax>8s(黄色区域)。C、DWI影像中最终梗死体积(粉红色区域)。
与其他参数相比,Tmax>8s时(斜率=0.9 R2=0.56 平均绝对误差为16.0 mL [IQR 2.9-22.5])梗死体积和最终梗死体积的斜率最接近于1(图2示)。当Tmax>10s时相关性最高且平均绝对误差最低(斜率=1.9 R2=0.73 平均绝对误差为11.3 mL [IQR 3.9-16.8]。

图2. 当Tmax>6s、8s、10s, CBF <38%、34%、30%时最终梗死体积(mL)线性回归图。黑色实线表示线性回归线,黑色虚线表示斜率1的参考线,蓝色实线表示95%预测区间。
大多数患者(n=22)CTP灌注成像中 CBF图上显示缺血核心体积为0 mL,然而多个CBF阈值与DWI上的最终梗死体积相关(图2示)。CBF<38%(斜率=3.6R2=0.76 平均绝对误差为8.2 [IQR 5.6-11.2])和CBF<34%(斜率=4.2R2=0.76 平均绝对误差为9.1 mL [IQR 6.8-15.7])在最终梗死体积估计中表现相似。残差图也检验了CTP参数与最终梗死体积的一致性(图3示)。
表3. 残差图显示的测量和估计最终梗死体积之间的差异。虚线为差异值的拟合线,虚线为调整后的95%预测区间。

在对CBF>0 mL和<38%的患者进一步分析中,与CBF<30%(r2=0.55 平均绝对误差为17.7 mL [IQR 12.2-32.9])和CBF<38%(r2=0.58平均绝对误差为12.1 mL [IQR 7.2-32.2])相比,CBF<34%时与脑梗死最终体积相关性略强(r2=0.60 平均绝对误差为22.3 mL [IQR 15.8-27.8])。
尽管Tmax>10s更容易低估最终梗死体积,Tmax>8s易高估最终梗死体积。EVT治疗前CT灌注成像可以为缺血梗死体积评估提供中等至良好的准确性。与其他Tmax阈值和CBF相比,Tmax>8s是最终梗死体积的强预测因子。
关注基底动脉闭塞









