来自纽约州立大学的Haydn Hoffman对相关文献进行系统回顾和荟萃分析,旨在评估EE治疗鼻出血的有效性、安全性和再出血率,发表在2022年1月的《Interventional Neuroradiology》。
——摘自文章章节
【REF:Hoffman H, er al. Interv Neuroradiol. 2022. doi:10.1177/15910199221081715】
血管内栓塞治疗(EE)是介入治疗难治性鼻出血的一种方法,由于病例较少,尚无荟萃分析报告。来自纽约州立大学的Haydn Hoffman对相关文献进行系统回顾和荟萃分析,旨在评估EE治疗鼻出血的有效性、安全性和再出血率,发表在2022年1月的《Interventional Neuroradiology》。
通过检索PubMed、Scopus和EMBASE纳入从1980年起至今的EE治疗鼻出血的研究报告,病例数至少包含10例,并采用随机效应模型获取每项结果(包括手术成功、再出血和并发症)的比率。
研究质量
该研究纳入44项回顾性研究,包括40项病例系列和4项回顾性队列研究,共1664例患者,定量分析比较EE和手术结扎疗效(图1)。其中1项研究仅包括遗传性出血性毛细血管扩张症(HHT)患者,3项仅包括创伤,1项仅包括肿瘤相关鼻出血,8项仅包括特发性病例。加权平均随访时间为17个月。每项研究的方法学质量评估见表1。
图1. 文献分析的PRISMA流程图
表1. 使用JBI关键评估工具对方法学质量进行评估
患者和手术特点
研究对象的平均年龄为28.1至67岁,其中女性占28.4%。少数患者(13%)使用抗血小板或抗凝药物。最常见的病因是特发性(58.5%),其次是外伤(11.7%)、肿瘤(7.2%)、HHT(5.8%)、术后并发症(4.6%)和凝血功能障碍(0.9%)。大多数患者(92.5%)一开始采用填塞止血,手术结扎较少(6.4%)。37项研究采用微粒栓塞,22项采用弹簧圈栓塞,1项采用Onyx胶栓塞。平均栓塞血管数为1 ~ 3支。93.1%的病例栓塞上颌动脉(颌内动脉)或其分支,32.5%的病例栓塞面动脉或其分支。
49.8%的病例栓塞了双侧血管。
疗效评估
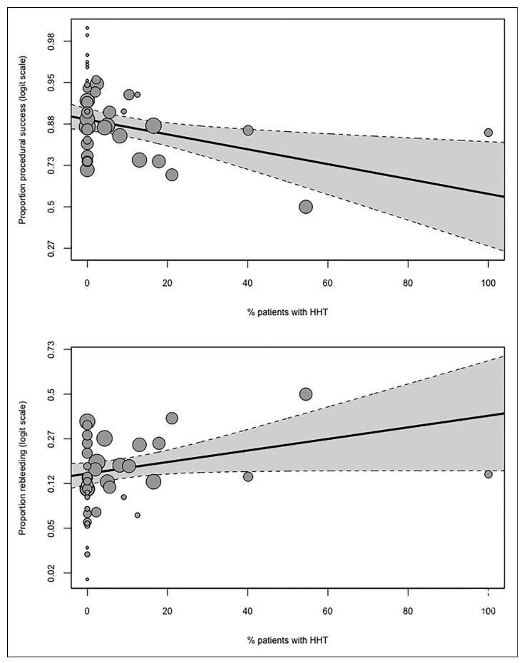
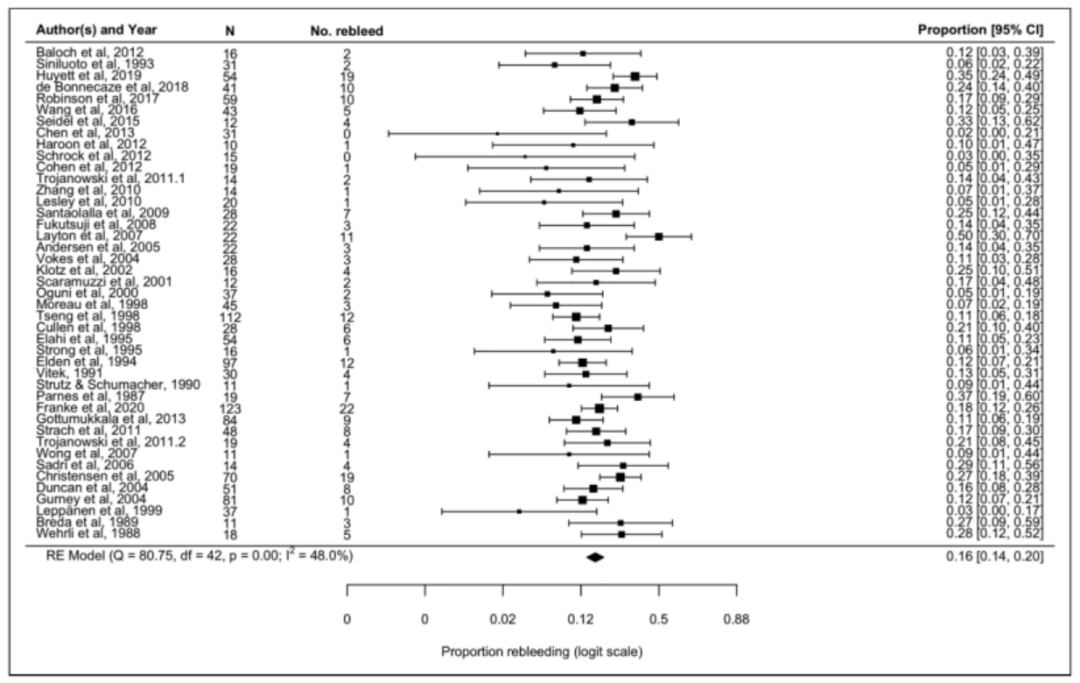
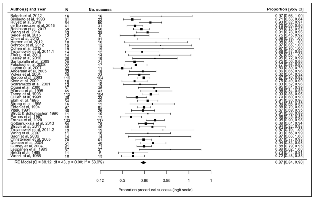
如图2所示,手术成功率高达87% (95%CI 83.9-89.6, I2=53%)。荟萃分析显示年龄(OR 0.95, 95% CI 0.91-1)和HHT (OR 0.97, 95% CI 0.96-0.99)与成功率降低有关。43项研究报告了再出血率。如图3所示,合并再出血率为16.4% (95% CI 13.6-19.6, I2=48%)。荟萃分析显示HHT与再出血呈正相关(OR 1.02, 95% CI 1-1.03)。HHT对结果的影响如图4所示。
图2. 手术成功的森林图显示个体研究结果和随机效应模型计算的比率
图3. 再出血的森林图显示个体研究结果和随机效应模型计算的比率
图4. 荟萃回归分析结果显示HHT对手术成功和再出血的影响
安全性评估
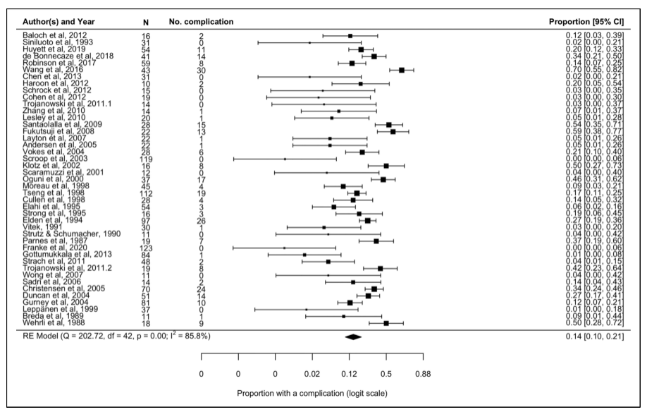
43项研究报告了并发症发生率。合并的并发症发生率为14.4% (95% CI 9.8-20.6, I2=85.8%),没有一个预测因素与并发症发生率相关。森林图如图5所示。卒中、视力丧失和组织坏死的比率分别为2.1% (95% CI 1.5-3.1, I2=1.5%)、1.8% (95% CI 1.2-2.6, I2=0%)和2.7% (95% CI 1.8-4, I2=18.1%)。
图5. 总体并发症的森林图显示个体研究结果和随机效应模型计算的比率
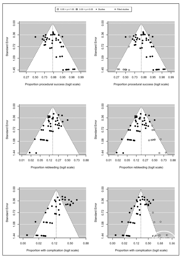
发表偏倚
发表偏倚的漏斗图如图6所示,表明发表偏倚与手术成功、再出血和并发症有关。Egger试验证实漏斗图不对称影响手术成功(p < 0.001)、再出血(p < 0.001)和并发症(p < 0.001)的比率。调整后的手术成功率为84.8 (95% CI 81.4-87.8)、再出血率为18.9 (95% CI 15.8-22.4)、并发症发生率22.4 (95% CI 15.2-31.6)。
图6. 发表偏倚与手术成功、再出血和并发症发生率的漏斗图
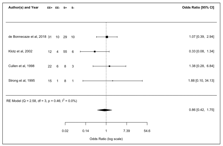
手术治疗比较
在四项比较EE和手术结扎的研究中,每组手术成功率分别为79.2%和83.3%。手术组包括经鼻内镜蝶腭动脉(SPA)结扎术、包括或不包括筛窦结扎的颌内动脉结扎术、经窦颌内动脉结扎术。如图7所示,与手术结扎相比,EE的成功率无明显差异(OR 0.86, 95% CI 0.42-1.75, I2=0%)。
图7. 比较血管内栓塞与手术结扎成功率的森林图
研究结果表明血管内栓塞治疗鼻出血成功率很高。介入医师应该注意再出血的风险,特别是遗传性出血性毛细血管扩张症的患者。
