作者:曹亮(第一作者),荣萍,朱冠南,许爱刚,陈思(通讯作者)
作者单位:南京大学医学院附属泰康仙林鼓楼医院
[REF:Cao L, Rong P, Zhu G, Xu A, Chen S. Clinical Characteristics and Overall Survival Prognostic Nomogram for Oligodendroglioma: A Surveillance, Epidemiology, and End Results Population-Based Analysis. World Neurosurg. 2021 Jul;151:e810-e820. doi: 10.1016/j.wneu.2021.04.122. Epub 2021 May 5.] PMID: 33964496
摘 要
少突胶质细胞瘤是一种罕见的原发性恶性脑肿瘤,其临床预后差异很大。然而,很少有研究评估影响少突胶质细胞瘤患者预后的因素。
目的:本研究的目的是从监测、流行病学和最终结果(SEER)数据库中调查所有少突胶质细胞瘤患者的人口统计学、预后和预后因素,并建立一个临床预后模型,用于预测少突胶质细胞瘤患者的生存时间。
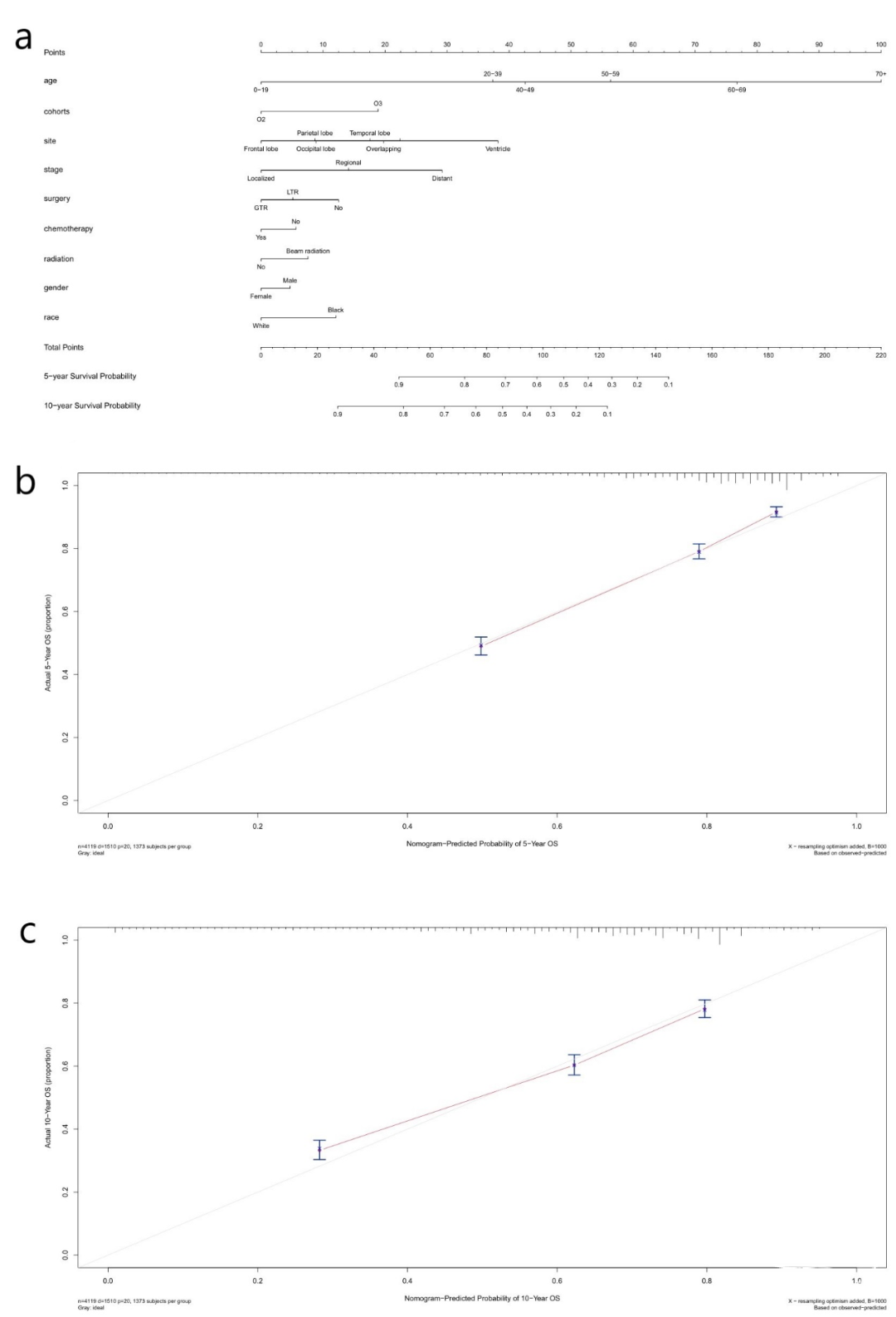
方法:从SEER数据库选择1975年至2016年间确诊的病例。通过单变量和多变量分析,评估年龄、性别、种族、保险、诊断年份、婚姻状况、肿瘤位置、肿瘤大小、总结阶段、手术方法、放疗和化疗的使用对总生存率的影响。构建并验证了预测少突胶质细胞瘤5年和10年生存率的列线图。
结果:数据清理后,纳入4568例少突胶质细胞瘤患者。在最后一次随访时,II级和III级少突胶质细胞瘤的平均生存时间分别为74和39个月。在多变量分析中,放疗、年龄、肿瘤部位、总结阶段和手术均显示与两组患者的生存率独立相关。种族和放疗证明与II级少突胶质细胞瘤的生存率独立相关。性别和化疗与III级少突胶质细胞瘤的生存率独立相关。选择两个队列中的独立因素建立临床列线图。列线图的C指数为0.738(0.718-0.757)。5年和10年生存率的校准曲线显示,列线图预测与实际观察结果之间具有良好的一致性。
结论:本研究首次建立了预测少突胶质细胞瘤患者总体生存率的列线图。我们的研究可以帮助临床医生准确预测患者的预后并进行进一步的治疗。
引 言
方 法
数据库

统计分析
结 果
人口统计学、肿瘤特征和治疗



总生存期与预后因素




列线图

讨 论
结 论
第一作者简介
曹亮 主治医师
泰康仙林鼓楼医院
硕士研究生,主治医师。
第一作者发表SCI 2篇。
通讯作者简介
陈思 主治医师
泰康仙林鼓楼医院
硕士研究生,主治医师。
第一作者发表SCI 1篇,通讯作者2篇。






