来自美国爱荷华大学医院的Ortega-Gutierrez等学者分析了导管室锥形束CT灌注成像在大血管闭塞患者中的应用,将研究结果发表在了2021年7月的《Stroke》杂志上。
——摘自文章章节
【Ref: Quispe-Orozco D, et al. Stroke. 2021; doi:10.1161/STROKEAHA.121.035992】
研究背景
使用RAPID软件(iSchemaView,Menlo Park,CA)对多探测器CT灌注成像(MDCTP)在机械取栓中的临床试验中得到了验证。锥束CT灌注成像(CBCTP)的使用可以缩短流程,这些患者从不具备CT灌注成像(CTP)的医疗中心转诊来并超过治疗时间窗。来自美国爱荷华大学医院的Ortega-Gutierrez等学者分析了导管室锥形束CT灌注成像在大血管闭塞患者中的应用,将研究结果发表在了2021年7月的《Stroke》杂志上。
研究方法
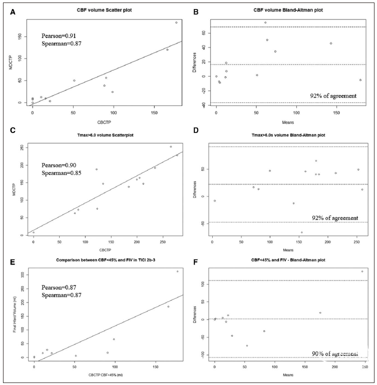
该研究为一项前瞻性、单臂介入研究,患者为符合机械取栓条件的前循环大血管闭塞的脑卒中患者。使用RAPID软件处理患者的MDCTP和CBCTP的数据。缺血核心体积定义为对侧脑组织MDCTP上<30%和CBCTP<45%的相对脑血流量。低灌注区域使用达峰时间>6s和达峰时间>10s评估。使用组内相关系数、Bland-Altman一致性检验及Pearson和Spearman相关性比较MDCTP和CBCTP的缺血体积(见图1)。

图1. 使用RAPID软件评估患者的缺血区和低灌注区。左侧:MDCTP对缺血体积(脑血流<30%,达峰时间>6s)的预测,组内相关系数0.89,Pearson=0.91,Bland-Altman一致性为92%;中间:CBCTP对缺血体积(脑血流<45%,达峰时间>6s)的预测,组内相关系数0.86,Pearson=0.90,Bland-Altman一致性为92%;右侧:DWI成像,组内相关系数0.89,Pearson=0.91,Bland-Altman一致性为92%。
研究结果
共入组13例患者。MDCTP和CBCTP对缺血体积(Pearson=0.91, Spearman=0.87)和达峰时间>6s的预测(Pearson=0.90, Spearman=0.85)均具有明显的相关性。Bland-Altman分析显示两个灌注参数的一致性为92%(见图2)。缺血核心体积的组内相关系数为0.89(95%CI:0.67-0.96),达峰时间>6s的组内相关系数为0.86(95%CI:0.55-0.96)。通过比较CBCTP缺血核心体积和患者最终的梗死体积,我们发现二者有很强的相关性(Pearson=0.87,Spearman=0.87)和一致性(90%),组内相关系数为0.81。

图2. 缺血核心区域和低灌注组织分析。MDCTP和CBCTP的相对脑血流量(CBF)(A)和达峰时间(Tmax)>6.0s(C)回归线散点图。Bland-Altman图比较脑血流量CBF(B)和达峰时间Tmax>6.0s(D)。比较成功再灌注患者CBCTP缺血核心体积和最终梗死体积的回归线散点图(E)和Bland-Altman图(F)。FIV:最终梗死体积;TICI:脑梗死的溶栓治疗。
研究结论
最后作者总结道,使用该技术可以及时在术中和术后准确地评价缺血性卒中患者的灌注参数,减少发病到再灌注时间,并可能改善患者的预后。







