第三期“诺华ACRO之声|肢端肥大症文献速递与专家点评”,本期精选了肢端肥大症领域近期发表的5篇文献,内容包括肢端肥大症患者中少见MEN-1患者的诊断,与肢端肥大症患者术后生化缓解相关的预测因素,骨活性药物在肢大患者中的应用,以及放射学方法预测垂体瘤特性,影响患者个体化治疗策略。我们邀请了四川大学华西医院蔡博文教授,中南大学湘雅医院雷闽湘教授、刘泽灏副教授对其中两篇文献进行深度点评分析,欢迎大家学习交流!


1
经蝶窦手术治疗肢端肥大症的生化缓解的预后因素:一项回顾性研究
Pituitary. 2020 Oct;23(5):582-594. doi: 10.1007/s11102-020-01063-x.
IF=3.201
生化控制是肢端肥大症患者生存情况、临床表现和合并症的主要决定因素。经蝶垂体瘤切除术(TSA)是首选的治疗方法,据报道生化缓解率在32%到85%之间。了解哪些因素会影响预后,对于决定什么样的患者需要什么样的治疗至关重要。这是发表在《Pituitary》杂志上的一篇回顾性研究,回顾截止到2019年12月31日发表在Medline/Pubmed上的英文文献,纳入将TSA作为主要治疗方法,所有患者均行全面内分泌检查、影像学检查等,通过分析确定术后生化缓解的主要预测因素。
纳入的研究大多数是单一机构、回顾性研究,术前有几项指标与较低的缓解率相关:影像学显示有海绵窦侵犯、肿瘤较大和生长激素水平较高。在一些研究中,年龄较小和术前的IGF-1水平是预测预后的因素。当控制协变量时,最好的术前预测因子是海绵窦侵犯,其次是术前GH水平。术后前几天的低生长激素水平是持久缓解的有力预测因子。肿瘤组织学(稀疏颗粒型、泌乳素水平和KI-67指数)对手术缓解的影响尚待确定。很少有研究开发出比单个参数产生更高预测能力的预测模型。综上所述,希望有进一步的研究,手术结果预测系统可以通过计算机学习算法进一步生成,以支持肢端肥大症患者个性化治疗的开发和实施。
表1.术前生化缓解的预测因素:多因素Logistic回归分析研究综述


肢端肥大症是由于垂体肿瘤病理性分泌过多的生长激素(GH)从而导致人体软组织、骨骼等过度增生,内脏器官病理性肥大,并产生多系统器官的并发症。手术治疗的重要目标之一是尽力切除肿瘤,实现激素水平的生化缓解。然而由于垂体肿瘤与正常垂体之间并无明确的包膜和界限,其侵袭性生长的生物学行为常常导致肿瘤侵犯硬膜、筋膜间隙、海绵窦、颅骨等结构,使肿瘤全切和实现生化缓解并非易事。肿瘤对海绵窦的浸润、肿瘤的最大径、术前的GH、IGF-1水平,术后短期的GH、IGF-1水平,以及患者的性别、年龄等因素都可能与术后的生化缓解状况有关。正确认识和评估这些因素,对于存在这些不利因素的患者,术后是否需要采取其他综合治疗,也就是患者的个体化规范化治疗决策,对于患者获得最大程度的生化缓解非常重要。这篇文章纳入的研究中,认为术前GH、IGF-1水平是影响肢端肥大症患者术后生化指标缓解的重要因素,当控制协变量时,最好的术前预测因子是肿瘤与海绵窦的关系---肿瘤侵袭性,是影响肿瘤全切除与生化缓解的重要因素。目前,对于肿瘤与海绵窦的关系判断主要是基于Knosp分级,单因素分析的结果提示Knosp分级3-4级的患者其生化缓解率小于Knosp分级1-2级组。而Knosp大于3级往往提示肿瘤可能侵犯海绵窦内侧壁,进而导致生化不容易缓解,但既往也有研究认为,Knosp分级却并非一个独立的危险因素,这可能与一些病例中虽然其Knosp分级较高,但实际上肿瘤与海绵窦的关系更多的是推挤而并非真正的侵袭,因而不会造成肿瘤容易残留在海绵窦中,导致生化未能缓解。在肿瘤与海绵窦关系中,肿瘤是否侵犯颈内动脉下间隙也被认为是判断肿瘤是否侵犯海绵窦的一个重要提示,当肿瘤侵犯颈内动脉下间隙时,术后生化缓解率更低。综上所述,本研究发现最好的术前预测因子是海绵窦浸润,是影响手术治疗肢端肥大症患者术后生化缓解的独立危险因素。但是本研究病例均为回顾研究,未纳入目前较为前沿的分子生物学标记物作为变量,有待今后进一步行相关基础研究及大宗病例或多中心前瞻性研究进一步完善。

蔡博文
四川大学华西医院垂体瘤中心副主任,主任医师,医学博士中国医师协会神经外科医师分会神经内镜专家委员会第三、四届委员毕业于北京医科大学,后在华西医院神经外科从事临床工作至今。多年来在颅底疾病尤其垂体瘤的规范化、个体化诊疗及颅咽管瘤、颅底脑膜瘤的外科治疗等方面进行了深入的探索和研究。参与了近年来中国垂体瘤及中国神经内镜相关的多项指南和共识的编写、制定工作。获得中华医学科技奖一等奖、华夏科技奖、教育部、省市级科技成果二等奖及三等奖多项,在国内外杂志上发表论著90余篇,参编专著3部,主研各类科研项目5项。

2
大队列肢端肥大症患者中的MEN-1(多发性内分泌肿瘤1型)患者
J Clin Endocrinol Metab. 2020 Jun 1;105(6):e2271-e2281. doi: 10.1210/clinem/dgaa142.
IF=6.209
多发性内分泌肿瘤1型(MEN-1)是由至少2个MEN-1相关肿瘤诊断组成。许多肢端肥大症患者同时临床与MEN-1相关,他的MEN-1基因突变检测为阴性。也有个案报道肢端肥大症合并原发性甲状旁腺功能亢进(PHP),MEN-1基因突变检测为阴性,这一类肢端肥大症患者发病率尚不明确,其临床表现也没有特异性。本研究发表在《J Clin Endocrinol Metab》杂志上,总共纳入肢端肥大症患者414例,对这部分患者进行临床和遗传分析。结果发现:在肢端肥大症患者中,临床MEN-1患者(至少存在一个以上与MEN-1相关的肿瘤)占6.6%。PHP的发生率为6.1%,多数患者有甲状旁腺增生。除1例CDC73突变外,DNA测序未发现其他基因突变。与单纯性肢端肥大症患者相比,在合并PHP的患者中,肢端肥大症的诊断年龄较大者,恶性肿瘤(特别是乳腺和甲状腺恶性肿瘤)的患病率更高。综上所述,在临床MEN-1患者中,并且与该综合征相关的突变基因检测为阴性的患者中,出现一种独特的基因表型。需要进一步的研究来确定可以解释PHP和肢端肥大症之间联系的其他基因。
表2.临床MEN-1与单纯性肢端肥大症患者的特点

图2.肢端肥大性PHP患者诊断时年龄:原发性甲状旁腺功能亢进症

表3.临床MEN-1患者与单纯性肢端肥大症患者的恶性肿瘤类型比较

肢端肥大症对于内分泌科医生比较熟悉,一般不会误诊漏诊。但是肢端肥大症作为多发性内分泌肿瘤1型的一个临床表现,在面对肢大患者的时候,我们往往会忽略该患者可能同时合并MEN-1。该研究入组的肢大病例数是迄今为止最多的,更是独辟蹊径,从肢端肥大症患者中筛查MEN-1和PHP的发病率,提示我们在临床工作中,对于肢大患者还要完善相关检查,明确患者是否合并PHP,是否能诊断为MEN-1。与肢端肥大症和PHP共存并伴有阴性基因检测相关的表型可能代表了一个以前没有被重视的独特临床实体。肢端肥大症的诊断年龄越大,甲状旁腺增生和多腺疾病(而非腺瘤)的发生率越高,一些恶性肿瘤的发生率也越高。在这部分肢端肥大症患者中,恶性肿瘤的患病率较高,这可能意味着需要在这一人群中进行更积极的癌症筛查。未来使用全基因组测序的研究可能会澄清尚未确认的基因突变是否是导致这些患者出现临床表现的原因,从而揭示了这种疾病的相关机制。

雷闽湘
中南大学湘雅医院主任医师,教授,博士研究生导师
中华医学会糖尿病分会常务委员
中国医师协会代谢内分泌分会委员
湖南省糖尿病学会主任委员
湖南省内分泌学会副主任委员
中华医学会糖尿病分会基层学组副组长
中华医学会糖尿病分会营养学组委员
中国女医师协会糖尿病分会委员
中华医学会内分泌学分会高尿酸血症学组委员
湖南省康复医学会骨质疏松专业委员会副主委

3
肢端肥大症的MRI纹理分析及其在预测生长抑素受体配体反应中的作用
Pituitary. 2020 Jun;23(3):212-222. doi: 10.1007/s11102-019-01023-0.
IF=3.201
由于肢端肥大症患者肿瘤复发、进展或对生长抑素受体配体(SRL)治疗的反应,缺乏可靠的预测指标,这篇发表在《Pituitary》杂志上的研究探讨了术前MR图像纹理是否可以预测这些临床结果,以及图像纹理是否可以区分生长激素腺瘤和非功能性垂体腺瘤(NFPA)。此项研究选取了2007-2015年间接受经蝶窦手术的GH型大腺瘤,肢端肥大症患者进行回顾性研究。使用Image J(NIH)对术前非增强的T1加权图像进行MRI纹理分析。使用Logistic和Cox模型来确定图像纹理参数是否可以预测结果。总共有89例患者测量纹理参数,并与NFPAs的纹理参数进行比较,对其中64例患者进行随访,并进行其他分析。生长激素腺瘤的最小像素强度、偏斜度和峰度与非功能性垂体腺瘤(受试者峰度的特征曲线下面积为0.7771)相比有显著差异。此外,最大像素强度高于中位数的患者在SRL治疗中IGF-I正常化的比例增加(OR 5.96,95%CI 1.33-26.66)。图像纹理不能预测肿瘤的复发或进展。综上所述,可以得出:MRI纹理分析能较好地区分非功能性垂体腺瘤和生长激素腺瘤,且具有良好的诊断准确性,并可预测SRL治疗后IGF-I的正常化。
图1.MRI质地分析是在非增强冠状T1加权图像上的最大横截面上画出整个肿瘤感兴趣区域。图为手术前(A)和生长抑素受体配体治疗后(B)
图4.受试者使用术前峰度的特征曲线来区分肢端肥大症和非功能性垂体腺瘤。曲线下面积为0.7771。峰度分界值表示最高的诊断准确率(敏感性62.4%,特异性83.3%)
表3.采用原始Logistic回归分析显示,图像纹理参数可作为生长抑素受体配体治疗反应的预测因子


4
肢端肥大性骨病的临床治疗:BAAC(肢端肥大症的骨活性药物)研究
J Clin Endocrinol Metab. 2020 Sep 1;105(9):dgaa363. doi: 10.1210/clinem/dgaa363.
IF=6.209
椎体骨折(VFs)是肢端肥大症的一种常见并发症,但到目前为止在临床环境下仍未有关于抗骨质疏松药物有效性的研究发表。在实际临床实践中,评估骨活性药物是否可以降低活动期或控制性肢端肥大症患者发生VFs的风险。
本研究发表在《J Clin Endocrinol Metab》杂志上,是一项回顾性-纵向研究,包括9个内分泌病房。采用计量学方法,对280例肢端肥大症患者(男性104例,平均年龄56.0岁±13.6岁)进行流行病学和VFs事件分析。采用骨活性药物治疗52例(20.97%),中位随访时间为48个月(范围12-132)。随访期间,65例患者(26.21%)发生VFs,与既往有无VFs(OR3.75;p<0.001)、活动期肢端肥大症持续时间(OR1.01;p=0.04)、研究开始时是否肢端肥大症活动期(OR2.48;p=0.007)和是否治疗肾上腺功能减退症(OR2.5;p=0.005)有关。在整个人群中,使用骨活性药物治疗对VFs发生率无显著影响(p=0.82)。然而,在一项仅限于研究开始时为活动期肢端肥大症患者的敏感分析中,骨活性药物治疗与较低的VFs风险(OR0.11;p=0.004)相关,与VFs的病史(OR7.65.p<0.001)和是否治疗肾上腺功能减退症(OR3.86p=0.007)无关。综上所述,可以得出结论,骨活性药物可预防活动期肢端肥大症患者的VFs。
表2.与未骨折的患者相比,随访期间发生意外椎体骨折(VFs)的患者的临床资料。分类数据以频率表示,并用卡方检验进行比较。连续数据用均值±SD或中位数和范围表示,比较分别用参数检验和非参数检验

表3.单变量和多变量Logistic回归分析结果评估全人群肢端肥大症患者发生椎体骨折(VFS)的决定因素
图1.肢端肥大症患者脊椎骨折发生率按疾病活动性和采用骨活性药物治疗分层

5
基于定量放射学方法对肢端肥大症患者进行无创实时增殖活性评估:一项多中心研究
J Endocrinol Invest. 2020 Jun;43(6):755-765. doi: 10.1007/s40618-019-01159-7.
IF=1.448
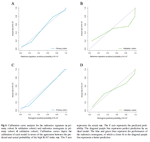
垂体瘤增殖活性预测对于确定肢端肥大症患者的个体化治疗策略非常重要,肿瘤增殖活性通常是通过Ki-67指数来衡量的。这篇发表在《Endocrinological investigation》杂志上的研究旨在评估磁共振成像(MRI)的方法在预测肢端肥大症患者Ki-67指数中的价值。因此,选择了对138例肢端肥大症患者进行了回顾性研究,并将其随机分配到初级队列和验证队列中。从MR图像中提取放射组学特征,然后应用“弹性网络”和“递归特征消除”算法确定关键放射组学特征,构建放射组学评估指标。随后,使用多变量Logistic回归分析来选择临床特征,并构建包含放射组学特征和临床特征的放射组学诺模图,用于个体预测。最后有25名肢端肥大症患者参加了多中心模型验证。结果确定了17个放射组学特征来构建放射组学特点,其初级队列和验证队列的曲线下面积(AUC)值分别为0.96和0.89。放射组学特征和已选定的8个临床特征构建放射组学诺模图,并显示出良好的区鉴力和校准能力,初级队列中的AUC为0.94,验证队列中的AUC为0.91。多中心模型验证中,放射组学特征的准确率达到88.2%。通过以上分析表明,放射组学特征和放射组学诺模图对肢端肥大症患者具有预测增殖指数的临床应用价值。放射学特征可以帮助神经外科医生预测肢端肥大症患者的Ki-67指数,并有助于增殖活性的无创检测,从而影响个体治疗策略。
图4.放射组学特征(a初级队列,b验证队列)和放射组学诺模图(c初级队列,d验证队列)的校准曲线分析。校准曲线根据高Ki-67指数的预测概率与实际概率之间的一致性来描述每个模型的校准情况。Y表示实际概率。X轴表示预测概率。紫色斜线表示理想模型的完美预测。蓝色和绿色的线条代表放射组学诺模图的预测,越接近紫色斜线的线条表示预测能力越好

表4.放射组学特征、临床模式和放射组学诺模图的特点
图6.放射组学特征(a初级队列,b验证队列)和放射组学诺模图(c初级队列,d验证队列)的决策曲线分析。Y轴衡量净收益。蓝色(初级队列)和绿色(验证队列)线表示放射学模型。紫色线代表Ki-67指数在所有患者中高度表达的假设。黑线代表患者无高Ki-67指数肿瘤的假设
有效期:2021-09-05,资料过期,视同作废。
声明:脑医汇旗下神外资讯、神介资讯、脑医咨询所发表内容之知识产权为脑医汇及主办方、原作者等相关权利人所有。未经许可,禁止进行转载、摘编、复制、裁切、录制等。经许可授权使用,亦须注明来源。欢迎转发、分享。