测量平扫CT的X射线衰减值可以识别在CTP中被归类为核心梗死的ASPECTS区域,该方法可作为晚期窗口取栓治疗替代的病例选择标准。
————摘自文章章节
【REF: Reidler P.et al. Radiology. 2019 May;291(2):451-458. doi: 10.1148/radiol.2019182041.】
研究背景
在DAWN和DEFUSE3研究的有力支持下,经过筛选的卒中患者在发病延长至24小时接受取栓治疗也可临床获益,其中患者的选择主要依靠CT灌注(CTP)和MRI影像。因此,2018年美国卒中协会指南在此背景下对使用高级影像给予了IA级推荐。但是,从全球的角度来看,只有53%的卒中中心经常使用这些先进的影像技术,这使得真实世界中快速决策困难,因此急需替代的影像学方法,来促进基于指南的决策制定。此外,仅使用非增强CT和CT血管造影代替CTP评判可以节省长达15分钟的时间。
Alberta卒中项目早期CT评分(ASPECTS)是所有卒中中心最为普及的评价方法,也被应用于2015年发表的取栓随机研究中。然而,ASPECTS评分面临着评分者间差异明显的问题,从而导致临床医生和神经放射学家评价结果的不一致。自动化和标准化算法的ASPECTS评分可能可以避免这种主观性的差异。
与主观ASPECTS评分不同,利用非增强CT测量脑实质中的X射线衰减的亨氏单位(HU)值代表了与任何观察者无关的区间标度参数。AIS的X射线衰减的变化反映了缺血性脑组织水的摄取。X射线低幅衰减是由缺血性离子型水肿的进展引起的,离子型水肿是由于细胞毒性水肿导致的细胞外水和离子的消耗,以及内皮功能的障碍。血管中Na+和水进入细胞外,降低缺血性脑实质的X射线衰减。由于离子型水肿与临界脑血流量(CBF)值小于10 mL /(100 g·min)相关,因此HU值的变化有可能作为CTP定义核心梗死区的替代指标,这可以促进当前试验结果的应用和转化。
来自德国慕尼黑大学医学院放射科的Wolfgang G. Kunz教授研究了AIS中自动非对比CT的X射线衰减测量是否提供了CTP定义的核心梗死的信息,来用于取栓治疗选择时间窗晚期的患者。结果于2019年5月在线发表在《Radiology》上。
研究方法
在这项回顾性研究中,共纳入了2009年至2017年因大脑中动脉近端闭塞引起的卒中患者,所有患者均接受非对比CT和CTP检查。自动化软件用于计算非对比CT图像上ASPECTS区域的相对亨氏单位(rHU)值,作为缺血半球与非缺血半球之间X射线衰减的比率。分析rHU和rHU-ASPECTS综合评分的敏感性、特异性和诊断性能(包括来自所有ASPECTS区域的rHU的分数)用于CTP局部核心梗死和晚期窗口取栓治疗标准的分类。
研究结果
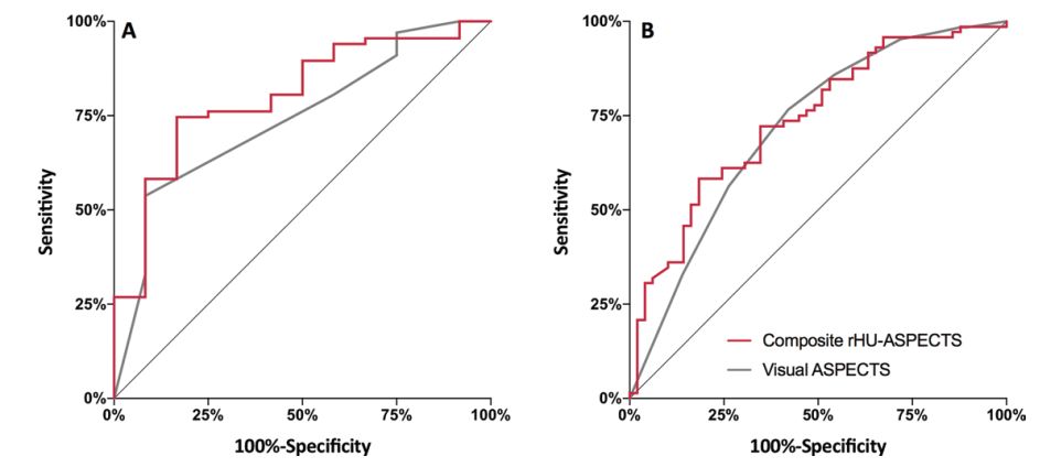
总共评估了200名患者,其中105名女性(平均年龄,74±14岁),95名男性(平均年龄,76±14岁)。验证队列中有121名患者,独立测试队列中有79名患者。在所有检查区域中,rHU值为尾状核、豆状核和岛叶的核心梗死提供了最佳分类(受试者工作特征曲线[AUCs]下面积范围0.70-0.77;P<0.001)。rHU-ASPECTS综合评分允许以CTP成像选择核心梗死大小<70 mL、目标不匹配率大于1.8的标准进行分类,并且在测试队列中AUC为0.80(P=0.001;75%敏感性和83%特异性),在验证队列中AUC为0.74(P <0.001;58%敏感性和82%特异性)。
研究结论
测量平扫CT的X射线衰减值可以识别在CTP中被归类为核心梗死的ASPECTS区域,该方法可作为晚期窗口取栓治疗替代的病例选择标准。
![]()
图1. 测试和验证队列的患者选择流程图。CTP=CT灌注。
![]()
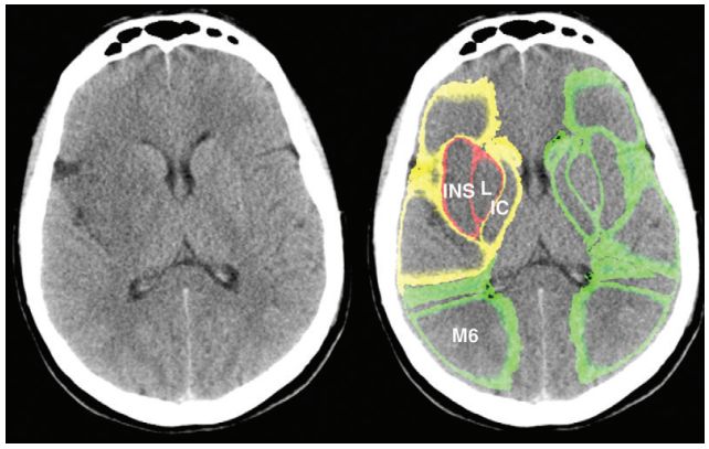
图2. 平扫CT图像无(左)和有(右)自动重叠分割ASPECTS区域,分割区域显示区域绘制和X射线衰减测量方法。根据制造商执行的任意截止值,颜色仅用于说明和显示与对侧相比,区域内X线衰减的差值。(绿色 =差值<1 HU; 黄色 = 1≤差值<3 HU;红色=差值>3 HU)。IC=内囊,INS=岛叶,L=豆状核,M6=M6区。
![]()
图3. 基于CTP试验中成像选择标准的分类受试者工作特征(ROC)曲线。ROC分析测试队列(A)和验证队列(B)中可视化ASPECTS评分和综合相对亨氏单位(rHU)-ASPECTS评分对于选择标准为核心梗死区>70ml、不匹配比<1.8之间的差异。
![]()
图4. 根据复合相对Hounsfield单位(rhu)-阿尔伯塔中风计划早期CT评分(方面)正确和错误分类的示例图像。A. 图为一位79岁女性右侧近端M1闭塞。采用rhu综合征(小于或等于20.274)对血栓切除术合格性的影像学标准进行了正确分类。B. 82岁男性左颈内动脉和颈动脉T阻塞的图像。根据影像学标准,rhu综合征(大于20.274)正确地将患者分类为不适合进行血栓切除术。C. 78岁女性左侧远端M1闭塞患者的图像被rhu综合征错误地归类为不适合进行血栓切除术(大于-0.274)。根据Youden指数分析,rhu方面的阳性血栓切除选择标准阈值小于或等于20.274。CTA=CT血管造影,CBF=脑血流,CBV=脑血容量。





