![]()
神外资讯【中华神外】专栏,每周发布一篇精选文章,今天刊登的是由张超、高国一、冯军峰、毛青、江基尧在《中华神经外科杂志》2019年第二期“正常压力脑积水”上发表的“脑脊液压力相关参数预判颅脑损伤后脑积水分流术疗效的研究”,欢迎阅读。
摘要
探讨腰大池内脑脊液压力(CSFP)和颅内压波幅及其颅内压相关系数(RAP)与颅脑损伤后交通性脑积水患者脑室-腹腔(V-P)分流术疗效的关系。
方法:
回顾性分析2017年8月至2018年3月上海交通大学医学院附属仁济医院神经外科采用V-P分流术治疗40例颅脑损伤后交通性脑积水患者的临床资料。根据Salomon脑积水分流术的手术效果分级标准进行分级,将患者分为预后相对良好组(1~3级,n=26)和预后不良组(-2~0级,n=14),比较两组患者CSFP和RAP的差异,分析与V-P分流术后疗效之间的关系。
结果:
单因素分析显示,预后不良组的CSFP值和RAP值[分别为(13.82±4.40)mmHg、(0.66±0.19)]均低于预后相对良好组[分别为(15.12±3.10)mmHg 、(0.81±0.13)],均P≤0.001;两组患者的CSFP “剂量”(DCSFP10)和RAP “剂量”(DRAP0.6)比较,预后相对良好组的DCSFP10值[中位数(四分位间距)][84.12(615.22) mmHg/h]和DRAP0.6值[(14.29±6.33)h]均高于预后不良组[分别为34.72(91.62) mmHg/h和(4.01±2.01)h],均P<0.05。多因素二元logistic回归分析显示,CSFP(OR=2.231,95% CI:1.264~3.943,P=0.025)和RAP(OR=19.092,95% CI:3.104~162.103,P=0.001)均是影响两组患者V-P分流术预后的独立危险因素。
结论:
CSFP及RAP为颅脑损伤后交通性脑积水患者行分流术不良预后的独立危险因素;DCSFP10值及DRAP0.6值均可作为预判颅脑损伤后脑积水分流手术疗效的参数。
脑积水是由各种原因引起的脑脊液分泌过多、循环受阻或吸收障碍而导致脑脊液在脑室系统和(或)蛛网膜下腔过多积聚的状态。根据形成的病因可分为特发性和继发性脑积水,特发性脑积水无明确病因,而继发性脑积水是常继发于颅脑创伤、蛛网膜下腔出血等有明确病因的一类脑积水。一经确诊为继发性脑积水,主要治疗方式是通过各类分流手术改善患者的临床症状,但临床中一部分继发性脑积水患者术后并未有明显的改善,所以目前亟待一种准确、直观的方法预判分流手术的效果[1]。其中有研究表明,颅内压(intracranial pressure,ICP)、ICP波幅与ICP相关系数(regression of amplitude and pressure,RAP)和脑脊液压力(cerebrospinal fluid pressure,CSFP)以及CSFP“剂量”及RAP“剂量”可以反映颅内血管的状态、颅内代偿空间、脑顺应性等指标[2-4],进而可以预测脑室系统积水情况的转归。进一步研究表明,CSFP“剂量”在一定阈值之上的曲线下面积,可更准确地反映继发性颅脑损伤的严重程度[5-6]。本研究共纳入40例颅脑损伤后合并交通性脑积水的患者,在脑室-腹腔(ventriculo-peritoneal,V-P)分流术前行腰大池引流术的同时利用高频率大数据信息采集与分析系统,采集并回顾性分析患者腰大池内的CSFP、CSFP波幅、RAP、CSFP“剂量”及RAP“剂量”一系列参数与患者V-P分流术疗效的关系。
资料与方法
1. 临床资料:回顾性分析上海交通大学医学院附属仁济医院神经外科2017年8月至2018年3月收治的颅脑损伤后合并交通性脑积水患者的临床资料。
纳入标准:
(1)存在颅脑疾病史(颅脑外伤、脑出血疾病);
(2)头颅CT显示脑室系统普遍扩大符合交通性脑积水标准[Evans指数(双额角径/颅内径)>0.3和第三脑室变钝圆等],伴或不伴脑沟、脑池扩大[7-8];同时需与脑萎缩后脑室系统代偿性扩大相鉴别,后者影像学主要表现在脑室系统扩大、脑沟增宽、无脑室周围低密度渗出表现[9-10];
(3)颅脑疾病后患者神志清楚,伴随智力和记忆力减退、步态不稳、尿失禁的典型三联征;
(4)患者入院期间均先行腰大池引流术+CSFP监测,然后行V-P分流术。
排除标准:
(1)严重的颅内或全身感染者[11];
(2)出血性疾病、肝肾功能衰竭等基础病无法耐受手术者;
(3)家属或患者放弃治疗者。共纳入40例颅脑损伤后的脑积水患者,其中男22例,女18例;年龄为27~69岁,平均(49.4±11.1)岁;40例患者的入院格拉斯哥昏迷评分(GCS)平均为(12.4±2.1)分。患者或家属知情同意并签署知情同意书。
2. 数据收集与分组:收集患者的性别、年龄、入院时的GCS等基线资料。患者入院期间均先行腰大池引流术+CSFP监测,然后行V-P分流术。腰大池引流术选择美国Medtronic公司生产的腰大池引流管,患者取侧卧位,选取L3-4椎间隙进行腰椎穿刺,引流管末端三通管处分别接引流袋引流,一次性压力感受器监测CSFP,控制在7:00~17:00时,每小时引流15ml脑脊液,全天的引流量为150ml,随后关闭引流管,夜间持续监测腰大池CSFP,连续3d相同操作重复释放脑脊液,测压后拔除腰大池引流管。其中腰大池引流期间连接数据处理工具(Neumatic DCR数据采集系统,上海浩聚公司),按照标准流程,监测并记录多种生理学参数,其中包括CSFP和RAP。参照Salomon脑积水分流手术效果分级标准[12],分为3~-2级6个级别:3级,基本恢复正常,临床三联征改善2种以上,伴有Evans指数<0.3,脑室周边渗出减少等影像学改善;2级,明显好转,仅有三联征改善2种以上,不伴影像学改善;1级,轻度改善,三联征只有一种改善;0级,无变化;-1级,症状恶化;-2级,术后死亡。将患者分为预后相对良好组(1~3级)和预后不良组(-2~0级)。40例患者术后疗效评级中,2级12例,1级14例,0级14例,-1级0例,-2级0例,故预后相对良好组26例,预后不良好组14例。
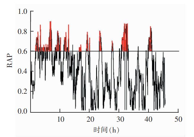
3. CSFP相关参数的定义及计算:利用Neumatic DCR数据采集系统对原始数据进行异常值剔除等预处理后,得到CSFP、RAP相关参数。其中CSFP即为腰大池内脑脊液的实时压力;RAP即ICP波幅(amplitude of pulse,AMP)与平均ICP的相关系数,是通过计算连续40段每6小时的平均AMP和平均CSFP的相关系数得出[13]。CSFP“剂量”是所有患者选取3d内测压期间共42h的CSFP数据。本研究根据既往研究中脑积水患者腰椎穿刺后测出CSFP范围在70~200mm H2O(1mm H2O=0.0098kPa)[14],对两组患者的CSFP阈值设置为10mmHg(1mmHg=0.133kPa),利用GraphPad Prism 5软件计算CSFP在10mmHg阈值基线区域的面积,得到该阈值的CSFP曲线下面积,定义为该阈值的CSFP“剂量”,表示为DCSFP10。RAP“剂量”的计算:计算同理于CSFP“剂量”,根据相关研究记载患者平均RAP<0.6提示脑萎缩,平均RAP>0.6提示急性脑积水[15-16],为更好地评估脑积水患者V-P分流术的疗效,本研究将RAP的阈值设置为0.6,此时患者的RAP曲线下面积表示为DRAP0.6(图1)。
![]()
图1. 腰大池内脑脊液压力(CSFP)和颅内压波幅及其颅内压相关系数(RAP)的曲线下面积(图中红色区域表示RAP阀值为0.6时的曲线下面积,即DRAP0.6)
4. 统计学方法:采用SPSS 23.0软件进行统计学分析。符合正态分布的计量资料采用x±s表示,组间比较采用t检验;不符合正态分布的计量资料采用中位数(M)和四分位间距(IQR)表示,组间比较采用秩和检验;计数资料采用例数或百分率表示,组间比较采用卡方检验。先用单因素分析检验预后的可能危险因素,包括年龄、性别、入院GCS评分、住院时长、CSFP以及RAP;再采用多因素二元logistic回归分析影响预后的独立危险因素。分别利用GraphPad Prism 5软件计算DCSFP10与DRAP0.6的受试者工作特征曲线(receiver operating charac-teristic curve,ROC)的曲线下面积。以P<0.05为差异有统计学意义。
结果
1. 影响颅脑损伤后交通性脑积水患者预后的单因素分析结果:由表1可见,预后不良组的CSFP值和RAP值均低于预后相对良好组, 两组比较差异均有统计学意义(均P≤0.001)。预后相对良好组的DCSFP10值和DRAP0.6值均高于预后不良组,两组比较差异均有统计学意义(均P<0.05)。但两组患者的年龄、性别、入院GCS评分、住院时长比较差异均无统计学意义(均P>0.05)。
![]()
注:M为中位数,IQR为四分位间距;a为t值,b为χ2值,c为U值;GCS为格拉斯哥昏迷评分,CSFP为腰大池脑脊液压力, RAP为颅内压波幅与颅内压的相关系数;DCSFP10是阈值为10mmHg时的CSFP“剂量”,DRAP0.6是阈值为0.6时的RAP“剂量”(1mmHg=0.133kPa)
2. 多因素二元logistic回归分析结果显示:两组单因素比较差异有统计学意义的指标中,CSFP(OR=2.231,95%CI:1.264~3.943,P=0.025)及RAP(OR=19.092,95%CI:3.104~162.103,P=0.001)是影响两组患者预后的独立危险因素。
3. 术后并发症:40例患者行腰大池引流后,脑脊液检查各项指标均正常,无相关手术禁忌证,然后均行V-P分流术,术后未发生颅内感染、出血、分流管堵塞等并发症。40例患者均存活出院。
讨论
颅脑损伤后脑积水患者由于脑室周围白质水肿、脑室系统扩大,通过牵拉脑实质引发脑流量下降进而影响皮质区域有氧代谢的改变[17],使原发性颅脑损伤患者的恢复停滞,甚至病情恶化。脑积水出现后,V-P分流术是最有效的治疗方法,但对于是否选择手术以及手术时机的决策上一直存在争议。在临床工作中发现,部分继发性合并交通性脑积水的患者在行V-P分流术后临床表现、影像学表现的改善均不明显[18]。所以,能够预判分流术后疗效的方法显得尤为重要,传统的腰大池持续引流后,观察患者临床脑积水三联征的改变并不能准确地适用于原有颅内疾病引起的脑积水患者,影像学表现也明显滞后于临床表现[19]。患者存在的意识、运动功能的障碍对三联征的前后对比判断也带来了难题。然而,在传统的腰大池持续引流中引入压力监测,并通过计算整合压力参数来分析引流效果,从而预判分流术的疗效,具有方便、准确、直观的优点。
腰大池与颅内脑池蛛网膜下腔相通,腰大池引流相当于在脑室内置入一根引流管引流脑脊液,在交通性脑积水患者中,初期腰大池内CSFP与ICP的梯度为零[20],CSFP的动态变化亦可以间接反映颅内压力的变化,进而反映颅内代偿能力,从理论上为预测分流术后的疗效提供了可能。随着CSFP、ICP监测技术应用的不断推广,各种压力相关参数也逐渐受到更多研究者及临床医生的关注。在这些参数中,哪些与患者的手术预后相关,目前的研究尚未有定论[4]。本研究通过回顾40例颅脑损伤后交通性脑积水的患者通过腰大池引流测得CSFP及其相关参数,探究其对患者分流术疗效的预测能力。
本研究单因素分析结果显示,CSFP及RAP在两组间的差异具有统计学意义,预后相对良好组较预后不良组的平均CSFP更高,平均RAP大于脑萎缩及急性脑积水的界值0.6。这提示分流术的疗效同患者术前自身的ICP及代偿能力有关,与目前其他研究的结果相符合[21]。然而,单纯以平均CSFP、平均ICP来判断患者的颅内情况存在着信息不完整、不精确等问题[22]。经过进一步处理,计算一定阈值之上的CSFP曲线下面积即CSFP “剂量”,可以用来间接反映颅脑损伤的严重程度[23],能较平均CSFP更好地辅助评估分流术的疗效。
本研究结合既往相关研究测得的腰大池内CSFP,选取10mmHg作为CSFP的阈值,结果显示预后相对良好组及预后不良组的平均CSFP均高于此阈值,其中预后相对良好组的平均CSFP要高于预后不良组,提示平均CSFP越高,颅脑损伤的程度相对较重,通过V-P分流术后获益越大。RAP间接反应脑压力-容积的代偿空间,当RAP接近0时,表明AMP与平均CSFP间无相关性,简而言之,即颅内容积的改变对CSFP无明显影响,预示着颅内仍具备较好的代偿空间,对脑积水具有一定的代偿能力;相反,如果RAP接近1时,则说明处于压力-容积曲线的右侧陡直区间内,此时患者的颅内代偿能力下降。有研究表明,RAP为0.6时预示脑脊液储备能力受损[15],脑积水症状逐步出现并呈加重趋势。与平均CSFP类似,平均RAP具有评估不完整、不精确的缺陷,本研究引入RAP“剂量”的概念,综合本研究的数据结果,选择RAP为0.6作为计算RAP剂量的阈值。结果显示,预后相对良好组及预后不良组平均RAP均高于此阈值,其中预后相对良好组的平均RAP值要大于预后不良组。
进一步分析可以看出,预后相对良好组的DCSFP10明显高于预后不良组,反映了预后相对良好组的颅内继发性损伤较重,CSFP较高且持续时间较长,通过V-P分流术带来的收益更大。应用类似思路,本研究在证实了RAP为两组患者预后差异的独立危险因素的基础上,为了克服平均RAP的不精确性,利用GraphPad Prism 5软件计算出RAP“剂量”即RAP在0.6以上的曲线下面积,即DRAP0.6值。本研究发现,预后相对良好组在该阈值下的RAP “剂量”高于预后不良好组,这表明预后相对良好组在较长时间内脑血管反应性均处于较差水平,脑脊液的储备能力下降。由于脑积水形成后扩大的脑室周围白质受到破坏,脑血流量减少、脑血管退变,引起脑室周围组织缺血性改变从而使脑实质失去弹性,导致脑室内与周围组织产生压力梯度。较差的脑血管反应性及脑脊液储备能力[15],预示着患者颅内条件不能对脑室内和脑室周围组织存在的压力梯度产生良好的耐受,后期分流术可能带来更大的益处。
综上所述,本研究通过应用高频率信息采集与分析系统,回顾性分析发现CSFP及RAP为颅脑损伤后交通性脑积水患者不良预后的独立危险因素。此外,本研究还发现,基于CSFP得出的CSFP“剂量”可间接反映颅脑损伤后脑积水患者的颅内压力波动情况;基于RAP得出的RAP“剂量”可反映颅脑损伤后脑积水患者对于脑室内与周围脑组织产生的压力梯度的耐受及代偿能力,两者均可作为预判后期V-P分流术后疗效的参数。若通过腰大池引流测压整合得出的DCSFP10值及DRAP0.6值越大,提示分流术给颅脑损伤后脑积水患者带来的益处较大,效果更明显,可择期进行手术,反之则不宜手术治疗,而应进行观察随访。本研究基于CSFP相关参数RAP做出的临床方案判断,相对于传统的腰大池引流观察临床效果具有相对准确、方便、直观的优点。然而,本研究仍存在如样本量较少等不足之处,其结论仍需今后通过多中心、大样本的研究进一步证实。
参考文献
![]()
![]()
![]()
![]()
![]()





