血栓通透性的测量可由非增强CT和CTA成像根据造影剂的渗透程度来进行量化,而血管内治疗作为大血管急性闭塞的首选治疗方式,使得闭塞部位栓子得以取出体外进行研究。
————摘自文章章节
【Ref:Berndt M,et al. Stroke. 2018;49:2674-2682. DOI: 10.1161/STROKEAHA.118.021873.】
研究背景
急性缺血性脑卒中入院影像学评估必不可少,CT和CTA除了可直接明确闭塞血管部位,还会影响患者再通效果以及临床预后的诸多血栓特征,包括栓子长度、密度以及通透性等,进行评估的功能。血栓主要由纤维蛋白、血小板、红细胞以及部分白细胞组成,而通常认为卒中病因分型和栓子组织成分相关,在影像学上表现差异明显,大脑中动脉高密度征已经被证实和栓子中红细胞含量较高有关。血栓通透性的测量可由非增强CT和CTA成像根据造影剂的渗透程度来进行量化,而血管内治疗作为大血管急性闭塞的首选治疗方式,使得闭塞部位栓子得以取出体外进行研究。近期一项研究在基于CT和CTA下对血栓通透性进行分析,并分析其和血栓组成成分以及卒中类型的相关性。
研究方法
所有的患者均经过非增强CT和薄层CTA进行扫描,血栓通透性使用非增强CT和CTA上HU值衰减差异进行表示(∆t)。通过对病理组织进行切片染色,对组织成分进行计数分析判断组织成分,本研究中所使用的病因分型方法为TOAST分型。首要终点事件为血栓通透性与血栓组成成分的相关性,次要观察指标为血栓病理组成成分和卒中病因的相关性。

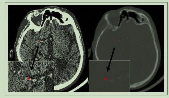
图1. 血栓在非增强CT和CTA上扫描密度的差异
研究结果
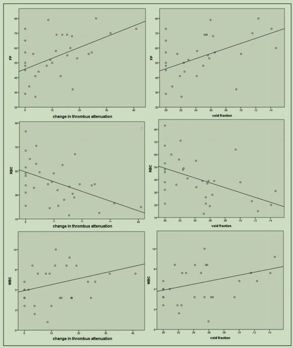
共计纳入133例患者进行分析,其中32例获得了血栓病理,分析显示纤维蛋白血小板(FP)含量中位数为56%(44%-69%),红细胞含量为39%(27%-52%),白细胞5%(4%-7%),血栓通透性∆t为(9.6;IQR,0.37–17.1),空隙率ε(患侧和对侧通透性的比值)为0.042(0.002–0.062),通过分析显示FP含量和患者通透性具有显著相关性(∆t:r=0.43,P=0.016/ε:r=0.45,P=0.01),白细胞相比具有显著相关性(∆t:r=0.34,P=0.06/ε:r=0.38,P=0.04),而红细胞RBC则与之具有显著的负相关性(∆t: r=−0.46,P=0.01/ε:r=−0.49,P=0.006)。同时我们观察到血栓通透性在心源性栓子和非心源性栓子之间存在差异的,尽管未见统计学意义(P=0.16)。而将TOAST2、5综合分析和其他非心源性进行对比显示两组血栓通透性是存在有差异的(P=0.087)。

图2. 病理组中血栓成分和血栓通透性的相关性分析

图3. 病理组中血栓通透性和患者病因的相关性

图4. 对照组中血栓通透性和患者病因的相关性
通过对101例大样本对照组进行分析显示,不同卒中病因之间血栓通透性是存在差异的,心源性栓子的通透性显著高于非心源性栓子(P<0.001),但当对比心源性和未知原因卒中组时两组血栓通透性未显示出差异(P=0.51),当将TOAST2、5合并分析时,较其他非心源性卒中组通透性显著较高(P=0.001)。另外通过建立ROC模型使用通透性对患者病因进行预测显示,血栓通透性是心源性栓塞预测的敏感指标(AUC=0.92)。
结论
通透性血栓与血栓低红细胞计数、高纤维蛋白和血小板含量有关,并与心源性栓塞具有相关性。这一结论有望能筛选出新的影像标记物,以期应用简单的现成影像检查实现病因学的识别。
(复旦大学附属华东医院张颖影组稿,河南省人民医院周腾飞编译,上海长海医院张永巍副教授审校,《神经介入资讯》主编、上海长海医院脑卒中中心兼神经介入中心主任刘建民教授终审)

CT灌注成像对缺血性卒中再通结果的预测研究(CRISP研究)





