动脉瘤性蛛网膜下腔出血(aSAH)发病后72小时通过ROTEM®EXTEM-MCF分析检测到血液凝固系统被激活,同时,FIBTEM-MCF升高,提示纤维蛋白形成和纤维蛋白聚合这两者在此过程中的重要作用。 ————摘自文章章节
【Ref:Vahtera AS,et al.World Neurosurgery,Oct 2018. 10.1016/j.wneu.2018.10.035】
研究背景
据报道,动脉瘤性蛛网膜下腔出血(aSAH)可促进血液凝固,旋转血栓弹力测定法(ROTEM®)是一种动态止血测试,可以区分各种凝血异常,例如,宽追踪幅度(最大凝块硬度[MCF])可以检测到凝血活性的增加。然而,ROTEM®尚未用于评估aSAH后的凝血变化。
近期,芬兰坦佩雷大学附属医院的Vahtera教授发表了一项前瞻性研究,该项研究通过比较aSAH发作后12、24、48和72小时的ROTEM测定结果与从非破裂动脉瘤夹闭患者获得的对照值进行对比,从而评估aSAH患者的凝血功能状态。
研究方法
该项研究共纳入在该医疗中心重症监护室治疗的17例aSAH患者,并且招募了16例对照患者。研究期间,每日抽取全血检测血小板和白细胞计数,血清C-反应蛋白和国际标准化比率浓度(INR),同时进一步检测凝血时间(CT)(表示凝块形成开始的时间),凝块形成时间(CFT)(表示凝块的稳定)和最大凝块硬度(MCF)(表示最大凝块强度)。每次分析使用一次性试剂进行。通常,如果MCF升高,则可以检测到高凝状态,使用不同的试剂可以区分血小板和纤维蛋白原(EXTEM-MCF)及纤维蛋白形成及其聚合(FIBTEM-MCF)对凝块的影响。
研究结果
图1 图1:从对照组的基线值到aSAH症状发作后72小时进行了ROTEM分析。A. EXTEM-MCF(mm),基线中位数:64.5(四分位数间距(IQR)59.5-66.8)和72小时:68.0(IQR 66.0-71.0)B.FIBTEM-MCF(mm)。基线中位数:15.0(IQR 12.5-17.8)和72小时:23.0(IQR,19.0-25.0)C.EXTEM-MCF(mm)和FIBTEM-MCF(mm)之间的差异表示血小板对凝块形成的影响。基线中位数:48.5(IQR,46.3-50.8)和72小时:44.0(IQR,41.0-48.0)
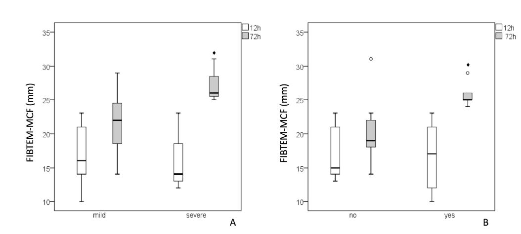
图2 图2:在aSAH症状发作后72小时内与EBI和DCI的发生率相关联,纤维蛋白形成和聚合(FIBTEM-MCF)。A.在严重早期脑损伤(EBI)患者(n=4)中,FIBTEM-MCF(mm)在72小时显着高于轻度EBI患者(26.0 mm,IQR,25.0-26.0 mm;与22.0 mm,IQR,18.3-24.8 mm)。B.在迟发性脑损伤(DCI)患者(n=7)中,72小时的FIBTEM-MCF(mm)为25.0(IQR,24.8-26.8),而非DCI患者为19.0(IQR 16.5-22.5)(n=10)
表1 表1:aSAH组与对照组在性别,合并症或体重指数方面没有差异,但aSAH组吸烟者比例较高,患者较年轻。此外,破裂的动脉瘤更常见于aSAH组的前交通动脉部位,而对照组的大多数动脉瘤位于大脑中动脉。 表2 表2:患者相关临床信息,在大多数aSAH患者中,出血被分类为中度至重度,76.5%的患者(n=13)通过血管内栓塞修复动脉瘤。在第90天,近60%的aSAH患者表现出良好的神经功能恢复,死亡率为5.9%。 表3 表3:在72小时,aSAH患者的EXTEM-MCF显着高于对照组的基线值:(68.0 mm,IQR,66.0-71.0 mm与64.5 mm,IQR,59.5-66.8 mm)。与对照组的基线值相比,FIBTEM-MCF在72小时时也显着增加:(23.0 mm,IQR,19.0-25.0 mm对比15.4 mm,IQR,12.5-17.8 mm)。EXTEM-MCF和FIBTEM-MCF之间的差异代表血小板对凝块形成的影响,与对照组的基线值相比,aSAH组在前72小时(48.5 mm,IQR,46.3-50.8 mm至44.0 mm,IQR,41.0-48.0 mm)显著下降(图1)。绝对血小板浓度保持不变(72小时为221,对照组基线为244。与72小时的aSAH值相比,EXTEM-CFT从对照组的基线值显着下降(96.5 s,IQR,81.3-120.5s对74.0 s,65.0-89.0s)。与对照组的基线值相比,在72小时未观察到INTEM-MCF,EXTEM-CT,INTEM-CT和INTEM-CFT的差异(表3)。其他时间比较(aSAH症状发作后12,24和48小时)与对照组基线值的比较如表3所示。


研究结果小结:72小时,aSAH患者的EXTEM-MCF显着高于对照组的基线值。这主要是由于纤维蛋白形成和纤维蛋白聚合增加造成的,同时,FIBTEM-MCF分析中也产生了类似的结果。
总结:aSAH发病后72小时通过ROTEM®EXTEM-MCF分析检测到血液凝固系统被激活,同时,FIBTEM-MCF升高,提示纤维蛋白形成和纤维蛋白聚合这两者在此过程中的重要作用。
(复旦大学附属华东医院张颖影组稿,浙江省中医院陈成伟编译,上海长海医院方亦斌副教授审校,《神经介入资讯》主编、上海长海医院脑卒中中心兼神经介入中心主任刘建民教授终审)






