【Ref: Yao PS, et al. Sci Rep. 2018 Apr 11;8(1):5799. doi: 10.1038/s41598-018-23934-x.】
脑动脉瘤的发病率3%~5%。其破裂所致的蛛网膜下腔出血(SAH)是患者死亡或残疾的原因。曾有报道认为,SAH后外周血白细胞计数升高是出血后全身急性炎症反应的表现,并指出白细胞计数可反映脑组织损伤的程度。亦有研究表明,白细胞计数升高可预测缺血性和出血性中风的预后不良,但是否可预示脑动脉瘤破裂出血的预后尚未明确。福建医科大学附属第一医院神经外科Pei-Sen Yao等对此进行研究,结果发表在2018年4月的《Scientific Reports》杂志。
作者收集2010年至2015年之间该医疗中心收治的428例脑动脉瘤破裂出血患者资料,包括性别、年龄、吸烟史、饮酒史、高血压病史、糖尿病史、高胆固醇血症、Hunt-Hess和Fisher分级、脑积水、动脉瘤位置、手术时间、迟发性缺血性神经功能障碍(DIND)、破裂后第1-3天的外周血白细胞数峰值和随访3月的mRS评分--mRS评分4-6分为预后不良。单因素分析结果显示,男性、Fisher分级、脑积水、72小时内手术、DIND和白细胞计数与不良预后相关。多因素分析结果提示,性别、Fisher分级、手术时间和脑积水与不良预后无关。但Hunt-Hess分级,DIND和出血后第1-3天白细胞计数峰值>13.84×109/L与不良预后显著相关;三天的白细胞计数预测不良预后风险分别增加5.2倍(OR=5.24;95% CI,1.67-16.50;P=0.005)、6.2倍(OR=6.24;95% CI,3.55-10.99;P<0.001)和10.9倍(OR=9.35;95% CI,5.98-19.97;P<0.001)。DIND的多因素分析示,Hunt-Hess分级Ⅳ-Ⅴ级、白细胞计数>13.84×109/L与DIND发生具有相关性。因此,最后作者指出,脑动脉瘤破裂后第1-3天外周血白细胞计数峰值>13.84×109/L是SAH 3个月预后不良的独立危险因素;其具体机制尚不清楚,有研究指出,白细胞释放的几种炎症介质如IL-1β、IL-6、TNF-α、TLR4和基质金属蛋白酶可能加重炎症反应导致不良预后。相关研究也发现抑制炎症反应和降低白细胞活性有益于限制继发性脑损伤和增加脑动脉瘤破裂后的存活率(图1)(表1、2)。
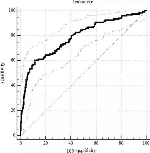
图1. 外周血白细胞数预测脑动脉瘤破裂的不良预后ROC曲线。
由ROC曲线得白细胞数预测脑动脉瘤破裂出血3个月不良预后的最佳截断值为13.84×109/L;灵敏度为60.3%,特异性为88.3%。
表1. 脑动脉瘤破裂出血不良预后多变量分析结果。
表2. 脑动脉瘤破裂出血出现DIND多变量分析结果。
(福州市第一医院 Serena编译,《神外资讯》主编、复旦大学附属华山医院陈衔城教授审校)
相关链接




