【Ref: Hamisch C, et al. J Neurosurg Pediatr. 2017 Sep;20(3):261-268. doi: 10.3171/2017.2.PEDS1665. Epub 2017 Jun 16.】
脑干肿瘤占儿童颅内肿瘤的20%-30%。其中,弥漫性桥脑胶质瘤(DIPG)非常多见,而且总体预后较差,生存时间>2年的患儿极少。最近研究发现,DIPG的分子学分型与药物治疗靶向的关系密切,所以通过立体定向活检来明确儿童脑干肿瘤(pedBST)的分子学分型,可能提高靶向治疗的效果。德国科隆大学医院神经外科的Christina Hamisch等进行一项立体定向活检对pedBST诊断价值和安全性的meta分析。结果发表在2017年6月的《J Neurosurg Pediatr》在线。
作者检索pubmed、EMBASE和Webof Science数据库中的相关文献,排除不符合标准的论文后,最终确定18项研究,包含735例活检病例,纳入mata分析。研究的主要指标为立体定向活检诊断的准确性和与穿刺相关的并发症。此外,应用Freeman Tukey双反正弦变换和DerSimonian Laird随机效应模型进行计算和联合估计。最后,进行异质性、敏感性和荟萃回归分析。
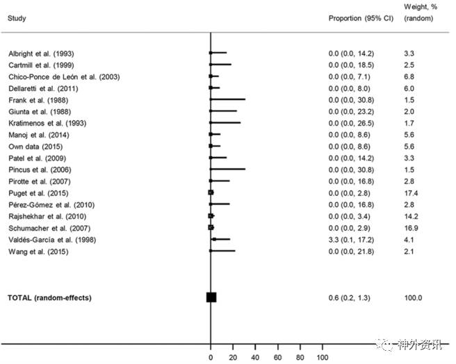
分析结果发现,753例pedBST患儿立体定向活检诊断的总体准确率为96.1%(95% CI,93.5%–98.1%)(图1);穿刺并发症的总体发病率为6.7%(95% CI, 4.2%–9.6%),永久并发症的发病率为0.6%(95% CI,0.2%–1.4%),与穿刺相关的死亡率为0.6%(95% CI,0.2%–1.3%)(图2)。亚组分析显示,穿刺轨道不影响后果,经额入路和经小脑入路的穿刺结果相似;另外,患儿年龄、论文发表的时间和各医疗中心穿刺活检数量均不影响结果的准确性和手术安全性。

图1. 荟萃分析评估诊断准确性的森林图。

图2. 荟萃分析患儿死亡率的森林图。
综上所述,pedBST的立体定向活检术是安全、准确的,可获得足够的肿瘤组织标本进行分子学检测,确定药物治疗的靶点,为后续个体化治疗提供信息。
(浙江大学医学院附属第二医院TMC编译,复旦大学附属华山医院陈灵朝博士审校,《神外资讯》主编、复旦大学附属华山医院陈衔城教授终审)
相关链接




