在美国,每年有200万人遭遇颅脑创伤,直接经济损失达到760亿美元,其中90%都是住院治疗的花费。需要长期气管插管的住院患者,常常给予气管切开,以便改善气管插管带来的严重不适,有利于吸痰、帮助分泌物排出,减少死腔通气;必要时可应用呼吸机作辅助通气和进行抢救。
在临床中,对何种严重程度的颅脑损伤患者需要进行气管切开,还没有一致意见。是否做气管切开、何时做气管切开仍然取决于主治医师对于患者病情的主观判断。美国田纳西州范德堡大学医学中心神经外科的Stephen S. Humble等针对重型颅脑损伤患者气管切开的危险因素和患者的预后,进行一项回顾性分析,研究成果发表在2016年10月《Brain Injury》在线上。
该研究纳入583例重型颅脑损伤患者的临床资料,对患者的年龄、性别、种族、GCS评分、头面颈的创伤严重程度(AIS)评分、有无医疗保险和是否进行气管切开进行分析。应用logistic回归模型分析以上因素与患者呼吸机使用时间和ICU入住时间的关系。
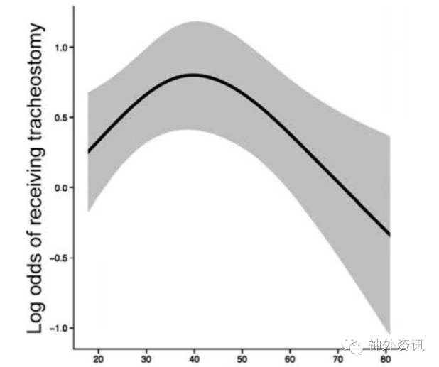
多变量分析结果提示,患者的年龄、有无医疗保险影响气管切开的概率。与没有医疗保险的患者相比,医生考虑到后续的治疗费用开支,倾向于对有个人商业保险患者进行气管切开(OR=1.89,[95% CI=1.09–3.23])(表1)。年龄与气管切开呈非线性相关性。随着患者年龄的提升,气管切开的概率增加;30-40岁患者达到顶峰,随后呈下降趋势(图1)。
表1. 气管切开患者的资料比较。


图1. 年龄与选择气管切开呈非线性相关性。
研究结果证实,气管切开明显降低重症颅脑损伤患者的死亡率(HR=4.92,[95% CI=3.49–6.93]);同时,AIS评分是患者死亡的独立危险因素(表2、图2)。
表2. 气管切开的危险因素分析。


图2. 气管切开患者的生存状况。
作者认为,患者的年龄和医保状况是影响美国重型颅脑损伤患者气管切开的主要因素,但是年龄和医保状况并不影响患者的死亡率。该研究证实,气管切开能提高重型颅脑损伤患者的生存率。
(华中科技大学附属同济医院徐昊编译,复旦大学附属华山医院陈灵朝博士审校,《神外资讯》主编、复旦大学附属华山医院陈衔城教授终审)
相关回顾
更多资讯请关注神外资讯微信公众号:neurosurgerynews



